Java | 基础语法

标识符
什么是标识符
在Java中,标识符是用来给
变量、方法、类和包等命名的字符序列。标识符的长度
没有限制,但是建议使用有意义的、简洁的标识符,以提高代码的可读性和可维护性。
标识符可以标识什么
- 变量名
- 方法名
- 类名、接口名、枚举名、注解名
- 包名
- 常量名 ......
标识符的命名规则
标识符可以由字母、数字、下划线(_)和美元符号($)组成,不能含有其他符号。(java支持全球所有语言,所以这里的 字母 指的是任何一个国家的文字都可以)
标识符不能以数字开头。
标识符不能是Java中的关键字,如public、class、void等。
标识符是区分大小写的,即Foo和foo是两个不同的标识符。
标识符的长度没有限制,但是Java建议使用有意义的、简短的标识符。
标识符的命名规范
见名知意
驼峰式命名方式
类名、接口名、枚举、注解:首字母大写,后面每个单词首字母大写。(StudentService,UserService)
变量名和方法名:首字母小写,后面每个单词首字母大写。(doSome,doOther)
常量名:全部大写,每个单词用下划线连接。(LOGIN_SUCCESS,SYSTEM_ERROR)
包名:全部小写
示例代码
/*
标识符
1. 什么是标识符?
在源代码中程序员自己有权利命名的单词都是标识符。
2. 标识符可以标识什么?
变量名,方法名,类名...
3. 标识符的命名规则?
* 标识符只能由数字,字母,_,$组成,不能含有其它字符。
(这里的“字母”代表的是任何一个国家的文字,Java是采用Unicode编码,支持全球任何一个国家的语言)
* 标识符不能以数字开头。
* 标识符严格区分大小写。
* 关键字不能做标识符。
* 标识符理论上没有长度限制,但是最好不要太长。
4. 标识符的命名规范?
* 见名知意。
* 遵循驼峰式命名方式。StudentService,BankService....
* 类名,接口名:首字母大写,后面每个单词首字母大写。StudentService, BankService....
* 变量名,方法名:首字母小写,后面每个单词首字母大写。productPrice, stuName, customerName, customerAge, doSome....
* 常量名:全部大写,每个单词之间采用“_”分隔。LOGIN_SUCCESS, LOGIN_ERROR, MATH_PAI
* 包名:全部小写。 powernode
*/
public class IdentifierTest01{
public static void main(String[] args){
// 定义一个变量,用来存储一个人的年龄
// age是一个变量名,是一个标识符
int age = 20;
int age_ = 20;
int $_age = 20;
int $_age123 = 50;
//int 1$_age = 50;
int 年龄 = 50;
int a = 100;
int A = 100;
String name = "jackson";
//String address# = "北京海淀区";
}
}
// 学生类 这是一个类名,是一个标识符
class 学生类{
}
/*
class public {
}
*/判断标识符是否合法
myVariable ——>合法
2name ——>不合法,以数字开头
first.name ——>不合法,以点号开头
studentName ——>合法
public ——>不合法,是关键字
public1 ——>合法
address# ——>不合法,以#号开头
MAX_SIZE ——>合法
id# ——>不合法,以#号开头
_id ——>合法
@age ——>合法,注解名
$money ——>合法
你好 ——>合法关键字
什么是关键字
在java语言当中,具有特殊含义的单词。
每个关键字都已经被java语言本身占用了,不能拿关键字做标识符。
java语言中所有的关键字都是全部小写。
Java关键字有哪些
Java关键字有哪些
Java关键字都是小写的。
关键字列表如下:
abstract, assert, boolean, break, byte, case, catch, char, class, continue, default, do, double, else, enum, extends, final, finally, float, for, if, implements, import, instanceof, int, interface, long, native, new, package, private, protected, public, return, short, static, strictfp, super, switch, synchronized, this, throw, throws, transient, try, void, volatile, while- Java保留字:
goto,const
示例代码
/*
什么是关键字?
在java语言当中,具有特殊含义的单词。
每个关键字都已经被java语言本身占用了,不能拿关键字做标识符。
java语言中所有的关键字都是全部小写。
以下程序中哪些单词是关键字?
public
class
static
void
*/
public class KeywordsTest01 {
public static void main(String[] args){
System.out.println("关键字");
}
}字面量
什么是字面量
字面量指的是在程序中直接使用的数据,字面量是Java中最基本的表达式,不需要进行计算或转换,直接使用即可。
Java中有哪些字面量
整数型:10、-5、0、100
浮点型:3.14、-0.5、1.0
布尔型:true、false
字符型:'a'、'b'、'c'、'1'、'2'、'国'
字符串型:"Hello"、"World"、"Java"、"你好呀"示例代码
/*
Java中的字面量:
1. 什么是字面量?
程序中的数据就是字面量。字面量是Java中最基本的表达式,无需转换,直接使用。
2. 字面量包括哪些类型?
整数型字面量: 10 20 100 -1 0 -100
浮点型字面量: 3.0 3.14 3.1415926
布尔型字面量: true false
字符型字面量: 'a' '国' 'b'
字符串型字面量:"abc" "a" "hello"
*/
public class ConstTest01 {
public static void main(String[] args){
// 整数型的字面量
System.out.println(10);
System.out.println(-100);
// 浮点型的字面量
System.out.println(3.14);
// 布尔型字面量
System.out.println(true); // true代表真
System.out.println(false); // false代表假
// 字符型字面量(单个字符)
// 所有字符型字面量必须使用单引号括起来。
System.out.println('A');
System.out.println('中');
System.out.println('T');
//System.out.println('AB'); // 编译报错。
// 字符串型字面量
// 所有的字符串型字面量都必须使用双引号括起来。
System.out.println("动力节点");
System.out.println("A");
System.out.println("Hello World!");
System.out.println("10");
System.out.println("true");
}
}加号运算符 +
作用1:
求和(当加号两边都是数字时进行求和运算)作用2:
字符串拼接(当加号两边有任意一边是字符串类型时会进行字符串拼接,结果还是一个字符串)
示例代码
/*
java语言中的 + 运算符:
1. + 运算符在java语言中有两个作用?
第一个作用:求和
第二个作用:字符串拼接
2. 什么情况下是求和?
+ 两边如果都是数字,会进行求和运算。
3. 什么情况下是字符串拼接?
+ 两边只要有一边是字符串,一定会做字符串的拼接操作,并且拼接完之后的结果还是一个字符串。
*/
public class PlusTest01{
public static void main(String[] args){
// 求和
System.out.println(10 + 20); // 30
// 字符串拼接
System.out.println("10" + 20); // "1020"
// 一个表达式当中出现多个 +,顺序是怎样的?如果没有小括号,遵循从左向右。
// 第一个 + 是求和
// 第二个 + 是字符拼接
System.out.println(10 + 20 + "30"); // "3030"
// 添加了小括号优先级比较高。
// 这两个 + 都是字符串拼接。
System.out.println(10 + (20 + "30")); // "102030"
System.out.println("10" + 20 + 30); // "102030"
System.out.println("10" + (20 + 30)); // "1050"
}
}输出结果:

变量
什么是变量
变量是内存当中的一块空间。是计算机中存储数据最基本的单元。变量三要素:
数据类型(决定空间大小)【int, double, String】
变量名(只要是合法的标识符即可)
变量值(变量中具体存储的数据)
注意:
变量名和变量值是一一对应的。

- 变量的声明、赋值、访问
int i; // 声明一个整数型的变量,起名i
i = 100; // 给变量i赋值100
System.out.println(i); // 访问i变量:读操作
i = 200; // 访问i变量:改操作【给变量i重新赋值200】变量的声明、赋值、访问语法格式
/*
变量
1. 什么是变量?
变量是内存中的一块空间。是计算机中存储数据的最基本的单元。
变量是用来解决数据存储问题的。
先把数据存储起来,后续的程序需要使用的时候,可以从变量中取来用。
2. 变量的三要素?
* 数据类型
* 变量名
* 变量值
注意:
数据类型是决定空间大小的。
数据类型 和 值的数据类型 要一致。
3. 变量的声明、赋值、访问。
声明(定义)语法格式:
数据类型 变量名;
数据类型:
int 整数型
double 浮点型
String 字符串型
......
赋值的语法格式:
变量名 = 变量值;
访问怎么做?
访问包括两种情况:一种是读,一种是修改。
读:System.out.println(变量名);
修改:变量名 = 变量值;
*/
public class VarTest01{
public static void main(String[] args){
// 声明/定义一个int类型的变量,起名age,用来存储人的年龄
int age;
// 给age变量赋值
age = 20;
// 读
System.out.println("年龄=" + age); ——> 字符串拼接
// 改(重新赋值)
age = 30;
// 读
System.out.println("年龄=" + age);
age = 60;
System.out.println("年龄=" + age);
// 不兼容的类型: String无法转换为int
//age = "50";
// 定义一个变量,用来存储数学当中的π
double π = 3.14;
System.out.println("圆周率:" + π);
// 声明一个String类型的name变量,用来存储人的姓名
// 变量的声明和赋值可以一块完成。
String name = "jack";
System.out.println("name = " + name);
// 可以重新赋值
name = "lucy";
System.out.println("name = " + name);
}
}输出结果:

变量的作用
变量的存在会让程序更加便于维护。
System.out.println(100 + 111);
System.out.println(100 + 222);
以上代码的设计就不如以下的代码:
int num = 100;
System.out.println(num + 111);
System.out.println(num + 222);变量的存在可以增强程序的可读性。
System.out.println(3.14 * 10 * 10);
以上代码的设计就不如以下的代码:
double π = 3.14;
int r = 10;
System.out.println(π * r * r);示例代码
/*
变量的作用:
第一个作用:便于代码的维护。
第二个作用:增强代码的可读性。
*/
public class VarTest02{
public static void main(String[] args){
/*
System.out.println(100 + 456);
System.out.println(100 + 111);
System.out.println(100 + 222);
System.out.println(100 + 235);
System.out.println(100 + 789);
System.out.println(100 + 999);
System.out.println(100 + 666);
System.out.println(100 + 888);
*/
// 新的需求来了:要计算50和后面数字的和。
// 问题:修改的位置太多了。不好维护。
/*
System.out.println(50 + 456);
System.out.println(50 + 111);
System.out.println(50 + 222);
System.out.println(50 + 235);
System.out.println(50 + 789);
System.out.println(50 + 999);
System.out.println(50 + 666);
System.out.println(50 + 888);
*/
int num = 50;
System.out.println(num + 456);
System.out.println(num + 111);
System.out.println(num + 222);
System.out.println(num + 235);
System.out.println(num + 789);
System.out.println(num + 999);
System.out.println(num + 666);
System.out.println(num + 888);
// 需求:请编写程序,计算半径是10.0cm的圆的面积。
// 假如不用变量。
System.out.println(3.14 * 10.0 * 10.0);
// 怎么增强可读性。
double π = 3.14;
double r = 10.0;
System.out.println(π * r * r);
}
}变量的小细节
变量必须先声明,再赋值,才能访问
方法体当中的代码遵循自上而下的顺序依次逐行执行,变量先访问,再声明肯定是不行的
一行代码上可以同时声明多个变量
在同一个作用域当中,变量名不能重名,可以重新赋值
变量值的数据类型必须和变量的数据类型一致,这样是不允许的:String name = 100;
示例代码
/*
变量使用的小细节:
1.变量必须先声明,再赋值,才能访问
2.方法体当中的代码遵循自上而下的顺序依次逐行执行,变量先访问,再声明肯定是不行的
3.一行代码上可以同时声明多个变量
4.在同一个作用域当中,变量名不能重名,可以重新赋值
*/
public class VarTest03 {
public static void main(String[] args){
// 变量必须先声明,再赋值,才能访问。
int age;
// 错误: 可能尚未初始化变量age
//System.out.println(age);
//方法体当中的代码遵循自上而下的顺序依次逐行执行,变量先访问,再声明肯定是不行的
// 错误: 找不到符号
//System.out.println("name = " + name);
String name = "jack";
// 一行代码上可以同时声明多个变量
// 以下代码含义:声明三个int类型的变量a b c,其中a和b没有赋值,c赋值300
int a,b,c = 300;
a = 50;
System.out.println(a);
b = 80;
System.out.println(b);
System.out.println(c);
int x = 500, y = 600, z = 700;
System.out.println(x + y + z);
// 在同一个作用域当中,变量名不能重名,可以重新赋值
// 作用域就是有效范围。在java中,一个{}就是一个作用域。
int i = 100;
// 错误: 已在方法 main(String[])中定义了变量 i
//int i = 200;
// 可以重新赋值。
i = 200;
System.out.println(i);
}
}输出结果:

变量的作用域
作用域就是变量的有效范围。变量的作用域是怎样的呢?用一句大白话就可以概括了:出了大括号就不认识了。作用域的不同主要是因为
声明在不同位置的变量具有不同的生命周期。所谓的生命周期是:从内存开辟到内存释放。Java遵循
就近原则
示例代码
/*
变量的作用域:
1. 什么是作用域?
变量的有效范围。在java程序中通常是一个{}对应一个作用域。
2. 记住一句话:出了大括号就不认识了。
*/
public class VarTest04 {
public static void main(String[] args){
// age是main方法中声明的。所以作用域是整个main方法。
// 在main方法体当中是有效的变量。
int age = 20;
System.out.println("age = " + age);
int num = 100;
if(num > 50){
int i = 666;
System.out.println("i = " + (i + age));
}
// 错误: 找不到符号
//System.out.println("i = " + i);
}
// 另一个方法。
public static void doSome(){
// 错误: 找不到符号
//System.out.println("age = " + age);
}
}输出结果:

变量的分类
局部变量:
在方法体中声明的变量,只能在当前方法体中使用。成员变量:
在类体中声明的变量,可以被类的所有方法使用。静态变量:
在类体中声明的变量,可以被类的所有实例对象使用。常量:
在类体中声明的变量,只能被类的所有实例对象使用,且只能赋值一次。
示例代码
/*
变量的分类:
变量可以根据定义的/声明的位置来进行分类,可以分为两大类:
* 一类:局部变量
* 另一类:成员变量
* 静态变量
* 实例变量
*/
public class VarTest05 {
public static void main(String[] args){
// 凡是在方法体当中定义的变量,一定是局部变量。
// 局部变量只在当前方法体当中有效。
int a = 100;
}
// 在类体当中定义的变量叫做成员变量。
// 实例变量
int b = 200;
// 静态变量
static int c = 300;
}二进制
二进制概述
计算机底层只能识别二进制。计算机底层只识别二进制是因为计算机内部的电子元件只能识别两种状态,即开和关,或者高电平和低电平。二进制正好可以用两种状态来表示数字和字符,因此成为了计算机最基本的表示方法。在计算机内部,所有的数据都被转化为二进制形式进行处理和存储。虽然计算机可以通过不同的编程语言和程序来处理不同的数据类型和格式,但最终都需要将其转化为二进制形式才能被计算机底层识别和处理。
什么是二进制
十进制:满十进一
二进制:满二进一

十进制转二进制
除以2,余数为0,则该位为0,除以2,余数为1,则该位为1。
重复以上过程,直到商为0。
倒序排列,得到的就是二进制数。
示例代码
/*
二进制与十进制的转换:
1. 十进制如何转换为二进制?
除2取余,一直到商0为止,最后将所有的余数逆序输出。
将75转换成二进制:1001011
2. 二进制如何转换为十进制?
每一位与权值相乘,最后求和。
将二进制1001011转换成十进制:75
*/
public class BinaryTest01{
public static void main(String[] args){
// 这是一个二进制的字面量。
// 二进制的字面量需要以 0b 开头。
System.out.println(0b1001011); // 75
}
}注意:
二进制的字面量需要以0b开头。
输出结果:

二进制转十进制
将二进制数每一位权值找出来,然后每个权值与对应二进制位相乘,最后将它们相加,即可得到十进制数。
什么是权值? 在二进制中,权值指的是每个位所代表的数值大小,即二进制中每个位的位置所代表的数值大小。
例如,在
二进制数1101中,最高位的权值为8,次高位的权值为4,第三位的权值为2,最低位的权值为1。
- 例如,二进制数1101转换为十进制数的计算过程如下:
1×2³ + 1×2² + 0×2¹ + 1×2⁰ = 8 + 4 + 0 + 1 = 13
练习题
将以下
十进制的数字转换为二进制:
243——>11110011
165——>10100101
89——>01011001
将以下
二进制的数字转换为十进制:
101010——>42
111100——>60
011001——>25
八进制与十六进制
什么是八进制
八进制:
八个0和7个1组成的数。八进制的表示方法:
以0开头,0~7表示。满八进一
八进制与十进制之间的转换

- 十进制转八进制:除以8取余,一直到商为0为止,最后将所有的余数逆序输出。

- 八进制转十进制:每一位与权值相乘,最后求和。

示例代码
/*
1. 八进制:满八进一
2.
十进制 1 2 3 4 5 6 7 8 9 10 11 12 13 14 15 16
八进制 1 2 3 4 5 6 7 10 11 12 13 14 15 16 17 20
3. 十进制转换成八进制:
除8取余,一直到商0为止,最后将所有的余数逆序输出。
4. 八进制转换成十进制:
每一位与权值相乘,最后求和。
*/
public class BaJinZhiTest01{
public static void main(String[] args){
// 十进制转换成八进制
// 以下字面量是一个八进制的字面量。
// java中规定,以0开始的字面量是一个八进制的字面量。
System.out.println(0211); // 137
}
}输出结果:
137简便方法:先将
十进制转换为二进制,再转换为八进制。
137转化为二进制:10 001 001
10001001转化为八进制:211什么是十六进制
十六进制:
十六个0到9和A到F(10到15`)组成的数。十六进制的表示方法:
以0x或0X开头,0~9和A~F表示。满十六进一
十六进制与十进制之间的转换

- 十进制转十六进制:除以16取余,一直到商为0为止,最后将所有的余数逆序输出。

- 十六进制转十进制:每一位与权值相乘,最后求和。

示例代码
/*
1. 十六进制:满十六进一
2.
十进制 1 2 3 4 5 6 7 8 9 10 11 12 13 14 15 16 17 18 19 20 21 22 23 24 25 26 27 28 29 30 31 32
十六进制 1 2 3 4 5 6 7 8 9 a b c d e f 10 11 12 13 14 15 16 17 18 19 1a 1b 1c 1d 1e 1f 20
3. 十进制转换成十六进制:
除16取余,一直到商0为止,最后将所有的余数逆序输出。
4. 十六进制转换成十进制:
每一位与权值相乘,最后求和。
*/
public class ShiLiuJinZhiTest01 {
public static void main(String[] args){
// 十进制转换成十六进制
// 如果一个字面量以0x开始,后面的值是一个十六进制的值。
System.out.println(0x146); // 326
}
}输出结果:
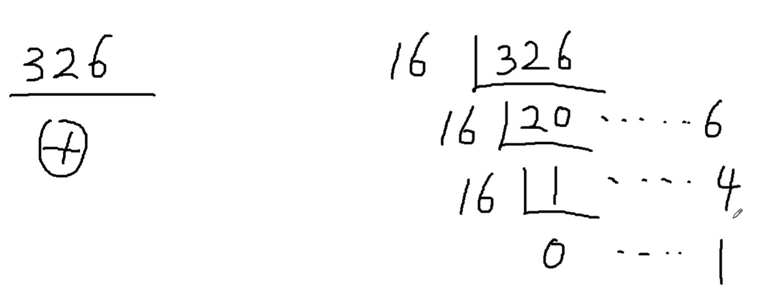
326简便方法:先将
十进制转换为二进制,再转换为十六进制。
326转化为二进制:0001 0100 0110
0001 0100 0110 转化为十六进制:146总结二进制、十进制、八进制、十六进制的转换方法
二进制:满二进一,
0b开头。十进制:满十进一。
八进制:满八进一,
0开头。十六进制:满十六进一,
0x或0X开头。
示例代码
public class JinZhiZhuanHuan {
public static void main(String[] args){
// 十进制
System.out.println(10); // 10
// 八进制
System.out.println(010); // 8
// 二进制
System.out.println(0b10); // 2
// 十六进制
System.out.println(0x10); // 16
}
}输出结果:
10
8
2
16原码、反码、补码
byte与bit
byte(字节)是
计算机存储和处理数据的基本单位,通常由8个比特(bit)组成。每个比特(bit)是计算机中最小的存储单位,只能存储0或1两个状态。因此,一个字节(byte)可以存储8个比特(bit)的数据。两者之间的关系是,
1 byte = 8 bit,即8个比特(bit)组成一个字节(byte)。在计算机中,数据通常以
字节(byte)为单位进行存储和传输,而比特(bit)则是用来表示数据的最小单位。
1KB = 1024byte
1MB = 1024KB
1GB = 1024MB
1TB = 1024GB原码、反码、补码的概念
原码反码补码是计算机二进制的三种表示形式。
计算机在底层都是采用二进制补码形式表示的。
二进制位最高位称为符号位,
0为正数,1为负数。
正数的原码反码补码
正数的
原码、反码、补码都是相同的。
请问
127的原码反码补码分别是多少?
十进制数: 127
原码:0111 1111
反码:0111 1111
补码:0111 1111负数的原码反码补码
负数的原码运算规则:
将绝对值转换为二进制后,最高位改为1。
原码:直接将数值按照正负数的形式翻译成二进制得到的就是原码。
反码:将原码的符号位不变,其他位依次按位取反就可以得到反码。
补码:反码+1就得到补码。
负数的
原码、反码、补码都是不同的!
请问
-5的原码、反码、补码分别是多少?
十进制数: -5
原码:10000101
反码:11111010 (原则是:以原码作为参考,符号位不变,其他位取反)
补码:11111011 (原则是:以反码作为参考,符号位不变,加1)请问
-20的原码、反码、补码分别是多少?

请问
-128的原码、反码、补码分别是多少?

注意:-128的原码、补码都是
相同的。,可以推出byte的范围:byte的范围是-128~127。
负数补码求原码
负数的补码求原码:
将补码的符号位不变,其他位取反,再加1。
补码:10001100
反码:11110011
原码:11110100
十进制数: -116计算机底层为什么采用补码(了解)
可以简化电路设计:采用补码形式可以将加减法运算转化为相同的操作,从而简化电路设计。
解决了0的正负问题:在原码中,0有两个表示,+0和-0,这样会导致计算结果不唯一,而在补码中,0只有一种表示,即全0,可以避免这个问题。
解决了负数溢出问题:在原码中,负数的表示范围比正数少1,这样在进行减法运算时容易出现负数溢出的情况,而在补码中,负数的表示范围与正数相同,可以避免负数溢出的问题。
方便计算机进行运算:补码形式可以方便计算机进行加减法运算,而且可以使用相同的电路进行运算,从而提高了计算机的运算效率。
可以计算一下
-3 + 2,看看能不能理解!!!
以原码形式计算:

以补码形式计算:

数据类型-概述

- 数据类型作用?
决定给变量分配多大的空间。
- 为什么要学习数据类型?
为了定义变量。

关于默认值:
Java语言中变量必须先声明,再赋值,才能使用。对于局部变量来说必须手动赋值,而对于成员变量来说,如果没有手动赋值,系统会自动赋默认值。
关于八种基本数据类型的默认值:
| 数据类型 | 默认值 |
|---|---|
| byte | 0 |
| short | 0 |
| int | 0 |
| long | 0L |
| float | 0.0F |
| double | 0.0 |
| boolean | false |
| char | \u0000 |
| 所有的引用数据类型 | 默认值是:null |
示例代码:
/*
关于八种基本数据类型的默认值:
数据类型 默认值
---------------------------------
byte 0
short 0
int 0
long 0L
float 0.0F
double 0.0
boolean false
char \u0000
所有的引用数据类型,默认值是:null
语法规则:
在java中,如果成员变量没有手动赋值,系统会赋默认值
*/
public class DefaultValueTest{
// 成员变量:1.静态变量 2.实例变量。
// 静态变量
static int k;
static boolean sex;
static String name;
public static void main(String[] args){
// 变量必须先声明,再赋值,才能访问。
int i; // 局部变量
// 错误: 可能尚未初始化变量i
//System.out.println(i);
i = 100;
System.out.println(i);
System.out.println("k = " + k);
System.out.println("sex = " + sex);
System.out.println("name = " + name);
}
}输出结果:

数据类型-整型
整数型字面量的四种表示形式
十进制表示法:以数字0-9组成的常数,默认为十进制表示法。 例如:int a = 10;
二进制表示法:以0b或0B开头的常数,由0和1组合而成。 例如:int b = 0b101;
八进制表示法:以0开头的常数,由数字0-7组成。 例如:int c = 012;
十六进制表示法:以0x或0X开头的常数,由0-9和A-F(大小写均可)组成。 例如:int d = 0x1F;
示例代码:
/*
java语言中整数型字面量有四种表示形式。
*/
public class IntTest01{
public static void main(String[] args){
int a = 10;
int b = 0b10;
int c = 010;
int d = 0x10;
System.out.println(a); // 10
System.out.println(b); // 2
System.out.println(c); // 8
System.out.println(d); // 16
System.out.println(a + b + c + d); // 36
}
}输出结果:
10
2
8
16
36整数型字面量默认当做int处理
Java中整数型字面量
默认被当做int类型来处理,如果要表示long类型的整数,需要在字面量后面加上'L'或'l'标记。例如,下面是表示int和long类型整数的字面量的示例:
int x = 10; // 10是一个int类型的字面量
long y = 10L; // 10L是一个long类型的字面量需要注意的是,大小写字母'L'和'l'的使用没有区别,但是容易被误解为数字1,因此建议使用大写字母。
自动类型转换
在Java中,对于基本数据类型来说,
小容量是可以直接赋值给大容量的,这被称为自动类型转换。对于数字类型来说大小关系为:byte < short < int < long < float < double

示例代码:
/*
1.java中任何一个“整数型字面量”都会默认被当做int类型来处理。
2.java中允许小容量的数据直接赋值给大容量的变量。
byte < short < int < long < float < double
3.如果在整数型字面量后面添加 L 或者 l,那么这个整数型字面量就会被当做long类型来处理了。建议大L。
*/
public class IntTest02{
public static void main(String[] args){
// 这个没有类型转换。
// = 是赋值运算符,=的右边先执行。
// 程序先执行右边,分配一块空间去存储100这个数字,给100分配的是4个字节。(当做int来处理)
// a变量正好也是4个字节。所以不存在类型转换。
int a = 100;
// 100 是4个字节。
// b 是8个字节。
// 小容量可以自动赋值给大容量,叫做自动类型转换。
long b = 100;
// 100L一上来就是分配8个字节。所以这个代码不存在类型转换。
long c = 100L;
// 2147483647 一上来就被当做int来处理,4个字节。
// d是8个字节。存在自动类型转换。
long d = 2147483647;
System.out.println(d);
// 错误: 整数太大(不是long存不下。)
// 原因是:2147483648默认被当做int来处理,分配4个字节。4个字节本身是无法存储2147483648
//long e = 2147483648;
//System.out.println(e);
// 怎么解决?添加一个L。
long e = 2147483648L;
System.out.println(e);
}
}经典面试题:
请看以下代码有什么问题吗?
long z = 2147483648;
编译报错,原因是2147483648被当做int类型处理,而该数字本身已经超出了int最大值,如何修改?
long z = 2147483648L;强制类型转换
Java中
大容量是无法直接转换成小容量的。因为这种操作可能会导致精度损失,所以这种行为交给了程序员来决定,当然这种后果自然是程序员自己去承担。因此在代码中需要程序员自己亲手加上强制类型转换符,程序才能编译通过强制类型转换时,底层二进制是如何变化的?原则:
砍掉左侧多余的二进制。强制类型转换时,
精度可能会损失,也可能不会损失,这要看具体的数据是否真正的超出了强转后的类型的取值范围。如下图:水可能溢出,也可能不会溢出,这要看真实存放的水有多少

示例代码:
/*
强制类型转换。
1. java中大容量不能直接赋值给小容量。(大容量是不能自动转换成小容量的。)
2. 大容量转换成小容量的时候,想让其编译通过的话,必须由程序员手动添加“强制类型转换符”来操作。
3. 强制类型转换之后,编译通过,运行时可能损失精度,也可能不会损失精度,具体要看数据的真实大小。
*/
public class IntTest03{
public static void main(String[] args){
long x = 1000L;
// 错误: 不兼容的类型: 从long转换到int可能会有损失
//int y = x;
// 强制类型转换。
int y = (int)x;
long a = 55L;
int b = (int)a;
System.out.println("b = " + b); // 55
// 分析程序执行结果。
int k = 128;
byte e = (byte)k;
System.out.println("e = " + e); // -128
// 分析程序的执行结果:
int m = 129;
byte n = (byte)m;
System.out.println("n = " + n); // -127
// 自动类型转换。
double d = 1;
System.out.println(d); // 1.0
}
}输出结果:
b = 55
e = -128
n = -127
1.0强制类型转换-大容量转换成小容量
long a = 55;
int b = (int)a;
System.out.println("b = " + b); // 55
强制类型转换-小容量转换成大容量
int k = 128;
byte e = (byte)k;
System.out.println("e = " + e); // -128
// 分析程序的执行结果:
int m = 129;
byte n = (byte)m;
System.out.println("n = " + n); // -127

- 请推算结果:byte b = (byte)150;
推算过程:
int a = 150;
byte b = (byte)a;
System.out.println(b); // 126分析过程:
int a = 150;
150的二进制表示为:00000000 00000000 00000000 10010110
byte b = (byte)a;
强制转换为byte时,截取低8位:10010110(补码)
最高位为1,表示负数。补码转原码的步骤:
保持符号位不变,其余位取反:11101001。
加1得到原码绝对值:11101001 + 1 = 11101010(即十进制的106)。
因此,补码10010110对应的十进制值为 -106。
System.out.println(b); // -106结果:
-106当整数字面量没有超出byte的范围
在Java中有这样一个规定,当
整数型字面量没有超出byte的范围:可以直接赋值给byte类型的变量。
byte b = 127; // 这是允许的
很显然,这是一种编译优化。同时也是为了方便程序员写代码。如果超出了范围,例如:
byte b = 128; // 编译报错
这样就会报错,需要做强制类型转换,例如:
byte b = (byte)128;在整数类型中,
除了byte有这个待遇之外,short同样也是支持的。也就是说:如果整数型字面量没有超出short取值范围时,也是支持直接赋值的。
示例代码:
/*
请记住这个语法规则:
1.当一个整数型字面量没有超出byte的取值范围的时候,可以直接赋值给byte类型的变量。
2.当一个整数型字面量没有超出short的取值范围的时候,可以直接赋值给short类型的变量。
*/
public class IntTest04{
public static void main(String[] args){
// 可以直接赋值,不需要强制类型转换。
byte b = 1;
// 可以直接赋值,不需要强制类型转换。
byte a = 127;
// 编译报错,因为128超出byte取值范围了。
//byte c = 128;
// 如果想编译通过,只能做强制类型转换了。
byte c = (byte)128;
System.out.println(c); // -128
// short取值范围:-32768 ~ 32767
// 通过
short s = 32767;
// 编译报错。
//short s1 = 32768;
// 必须强制类型转换
short s1 = (short)32768;
System.out.println(s1); // -32768
}
}两个int类型做运算
在Java中,两个int类型的数据做运算,最终的结果还是int类型。
int a = 10;
int b = 3;
// 应该是这样的结果:3.33333333333333333333...
// 但java中不是,结果是:int类型的3
System.out.println(a / b); // 3多种数据类型混合运算
在Java中,当
多种数据类型混合运算时,会先将所有数据转换成容量最大的那种数据类型,然后再进行计算。
byte x = 10;
int y = 3;
long z = 100L;
// 编译报错。
//int result = x + y + z;
// 修改
long result = x + y + z;
System.out.println(result); // 113编译器的小心思
- 以下程序编译通过:
byte x = 10 / 3;
为什么编译通过?这种情况下都是字面量的时候,编译器可以在编译阶段得出结果是3,而3没有超出byte取值范围。可以直接赋值。- 以下程序编译报错:
int a = 10;
int b = 3;
byte x = a / b;
为什么编译失败?这种a和b都是变量的情况下,编译器是无法在编译阶段得出结果的,编译器只能检测到结果是int类型。int类型不能直接赋值给byte类型变量。- 怎么解决?要么把x变量声明为int类型,要么强制类型转换,例如:
int a = 10;
int b = 3;
byte x = (byte)(a / b);
这里需要注意的是:注意小括号的添加,如果不添加小括号,例如:
int a = 10;
int b = 3;
byte x = (byte)a / b;
这样还是编译报错,因为只是将a强转为byte了,b还是int。byte和int混合运算,结果还是int类型。示例代码:
/*
编译器的小心思:
*/
public class IntTest06{
public static void main(String[] args){
// 这条语法规则需要记住:byte和short混合运算的时候,各自先转换成int再做运算。
// byte + byte --> int
// byte + short --> int
// short + short --> int
short m = 10;
byte n = 10;
// 编译器报错。最后结果是int类型,不能使用short变量接收。
//short result = m + n;
int result = m + n;
System.out.println("result = " + result);
// 编译优化:以下代码10/3,编译阶段会直接计算出结果是3
// 编译之后的class文件中直接就是:byte b = 3;
byte b = 10 / 3;
System.out.println(b);
byte x = 10;
byte y = 3;
// 编译器报错
// 编译阶段只知道x/y结果是int类型,但是编译阶段不知道具体的结果是多少。
//byte c = x / y;
// 修改。
int c = x / y;
byte e = 3;
// 编译报错
//byte f = 10 / e;
// 第一种修改方式:
//int f = 10 / e;
// 第二种修改方式:
//byte f = (byte)10 / e; // 这是错误的。
byte f = (byte)(10 / e); // 这是正确的。
}
}数据类型-浮点型
浮点型字面量默认被当做double
- Java中,浮点型字面量默认被当做double类型,如果要当做float类型,需要在数字后面添加 F 或 f。
float f = 3.0; // 编译报错
报错原因是:3.0 默认被当做double类型,大容量无法直接赋值给小容量。如何修改:
float f = 3.0F;- 另外,可以通过以下程序的输出结果看到,double精度高于float:
double d = 1.5656856894;
System.out.println(d);
输出结果:1.5656856894
float f = 1.5656856894F;
System.out.println(f);
输出结果:1.5656856
原因:float最多精度是7位,double最大精度是16位。示例代码:
/*
浮点型数据:
1.包括两个类型:
float(4个字节):单精度,可以精确到7位小数。
double(8个字节):双精度,可以精确到15位小数。
2. double是常用的。
3. 浮点型的字面量默认都会被当做double类型来处理,如果想让其当做float类型来处理的话,需要在字面量后面添加F/f
*/
public class FloatTest01{
public static void main(String[] args){
// 不存在类型转换。
double d = 3.14;
// 编译报错
// 3.14默认是double类型,8个字节。
// f变量是4个字节,大容量不能直接转换成小容量。
//float f = 3.14;
// 修改
// 第一种方案:不存在类型转换
//float f = 3.14F;
// 第二种方案:借助强制类型转换
float f = (float)3.14;
double x = 1.5656856894;
System.out.println(x);
float y = 1.5656856894F;
System.out.println(y);
}
}浮点型数据两种表示形式
第一种形式:
十进制
double x = 1.23;
double y = 0.23;
double z = .23;第二种形式:
科学计数法
double x = 0.123E2; // 0.123 * 10的平方
double y = 123.34E-2; // 123.34 / 10的平方示例代码:
/*
浮点型数据有两种表示方式:
第一种形式:十进制
double x = 1.23;
double y = 0.23;
double z = .23;
第二种形式:科学计数法
double x = 0.123E2; // 0.123 * 10的平方
double y = 123.34E-2; // 123.34 / 10的平方
*/
public class FloatTest02{
public static void main(String[] args){
double x = 1.23;
double y = 0.23;
double z = .23;
System.out.println(x);
System.out.println(y);
System.out.println(z);
double a = 0.123E2;
System.out.println(a); // 12.3
double b = 123.34E-2;
System.out.println(b); // 1.2334
}
}浮点型数据存储原理
符号位:
0表示正数。1表示负数。指数位:比如小数0.123E30,其中
30就是指数。表示0.123 * 10的30次幂。所以也有把指数位叫做偏移量的。最大偏移量127。尾数位:
浮点数的小数部分的有效数字。例如:0.00123,那么尾数位存储123对应的二进制。从浮点型数据存储原理上可以看到,二进制中的指数位决定了数字呈指数级增大。因此
float虽然是4个字节,但却可以表示比long更大的数值。因此float容量比long的容量大。float是一个近似值,因此不精确。

符号位:
0表示正数。1表示负数。指数位:
8位。表示2的多少次方。尾数位:
23位。表示小数部分的有效数字。
浮点型数据使用注意事项
一旦有浮点型数据参与运算得出的结果,一定不要使用“==”与其它数字进行“相等比较”
不要这样:
double x = 6.9;
double y = 3.0;
double z = x / y;
if(z == 2.3){
System.out.println("相等");
}
// 输出结果:false
出现这样的结果是因为:z的值是 2.3000000000000003,而 2.3 是double类型,在计算机底层存储的都是它的近似值。- 可以这样:
double x = 6.9;
double y = 3.0;
double z = x / y;
if(z - 2.3 < 0.000001){
System.out.println("相等");
}示例代码:
/*
一旦有浮点型数据参与运算得出的结果,一定不要使用“==”与其它数字进行“相等比较”
主要原因是:任何浮点型数据,在计算机底层存储的都是它的近似值。
*/
public class FloatTest03{
public static void main(String[] args){
double a = 6.9;
double b = 3.0;
double c = a / b;
System.out.println("c = " + c); // c = 2.3000000000000003
System.out.println(c == 2.3); // false
/*
if(c == 2.3){
System.out.println("相等");
}
*/
if(c - 2.3 < 0.00000001){
System.out.println("相等");
}
}
}输出结果:
c = 2.3000000000000003
false
相等数据类型-字符型
字符型char
占用
两个字节,0~65535,和short容量相同,但char可以取更大的整数单个字符,使用单引号括起来,不能是多个字符可以保存一个
汉字char c = ‘’;这是不允许的char c = ‘\u0000’;这表示一个空字符,也是char的默认值。\u0000是一个Unicode码。空字符与空格字符是不同的。空字符表示什么也没有。空格字符表示一个空格。
示例代码:
/*
char类型:
1. char类型是字符型。
2. char类型占用2个字节。
3. char类型取值范围:0-65535
char和short都是2个字节。
char可以取到更大的正整数。
char和short所能表示的数量是一样的。
4. 在java中,字符char类型的字面量必须使用单引号括起来:
'A' 'a' '中'
5. 在java中,char类型统一采用的字符编码方式:Unicode编码
6. 在java中,char可以存储一个汉字。
7. char的默认值是:\u0000
*/
public class CharTest01{
public static void main(String[] args){
char c1 = 'A';
char c2 = 'B';
System.out.println(c1);
System.out.println(c2);
char c3 = 'a';
System.out.println(c3);
char c4 = '中';
System.out.println(c4);
// 错误:不兼容的类型: String无法转换为char
//char c5 = "国";
// 编译错误
//char c6 = 'ab';
// 错误: 空字符文字
//char c7 = '';
char x = '\u0000';
System.out.print(x + "abc");
}
}输出结果:
A
B
a
中
abc ——> abc前面有一个空格总结:
char类型变量定义有三种方式
第一种:char c = 'A';
第二种:char c = '\u0041';
第三种:char c = 65;转义字符
\t: 表示制表符,相当于按下Tab 键\n: 表示换行符\": 表示双引号(")\': 表示单引号(')\\: 表示反斜线(\)本身\uXXXX: 表示Unicode码。XXXX表示4位16进制数。表示一个Unicode字符。例如:\u0041表示A。
示例代码:
/*
转义字符:
\t: 表示制表符,相当于按下 Tab 键
\n: 表示换行符
\": 表示双引号(")
\': 表示单引号(')
\\: 表示反斜线(\)本身
*/
public class CharTest02{
public static void main(String[] args){
// 这是一个普通的t字符
char c1 = 't';
// 按说应该编译报错。因为看到的是一个字符串。不是字符。
// 但是编译通过了,说明这是1个字符。
// 这个字符叫做:制表符。tab
// \ 反斜杠在java语言中具有转义功能。把普通的t字符转义成了制表符tab。
char c2 = '\t';
System.out.println("abc" + c2 + "def");
// \n 换行符
System.out.print("hello\n");
System.out.print("world\n");
System.out.print("test\n\n\n\n\n\n");
// \"
// 需求:输出一个双引号到控制台。
//System.out.println("""); //编译报错
System.out.println("\"");
System.out.println("\"\"");
System.out.println('"');
// 需求:输出一个单引号到控制台
System.out.println("'");
// 编译错误
//System.out.println(''');
System.out.println('\'');
// 字符char只能是单个字符。
//System.out.println('\'\'');
// 需求:输出一个反斜杠到控制台。 \
//System.out.println("\"); // 编译错误
// 在java中两个 \\ ,最终转换完成之后是一个普通的 \ 字符。
System.out.println("\\");
System.out.println("\\\\");
}
}输出结果:
abc def
hello
world
test
1 // 5个换行符
2
3
4
5 // 5个换行符
"
""
"
'
'
\
\\字符编码
字符编码是人为规定的
文字与二进制之间的转换关系。在早期计算机系统中,字符编码主要采用的是
ASCII 编码,采用1个字节编码。最多可以表示256个字符。(实际上ASCII码表只用了128个。),程序员需要记住这几个:
a 对应ASCII码 97(b是98,以此类推)
A 对应ASCII码 65(B是66,以此类推)
0 对应ASCII码 48(1是49,以此类推)
编码和解码过程:
编码:把
字符转换成二进制。解码:把
二进制转换成字符。

什么是编码?什么是解码?乱码是怎么产生的?(了解)
字符在计算机系统中,
解码(Decoding)和编码(Encoding)是两个常用的概念,分别表示将二进制数据转换为字符和将字符转换为二进制数据。编码是将字符转换为二进制数据的过程。解码是将二进制数据转换为字符的过程。例如:
'a' ---------按照ASCII码表编码-----------> 01100001
01100001 --------按照ASCII码表解码------------> 'a'乱码是指在字符编码和解码的过程中,由于编码和解码所采用的字符集不一致,或者编码和解码所采用的字符集不支持某些字符,导致最终显示的字符与原始字符不一致。为了避免乱码的问题,我们需要统一使用一个字符集,并且在进行字符编码和解码时要保持一致。
常见的字符编码(了解)
ASCII 编码(American Standard Code for Information Interchange:美国信息交换标准编码):采用1个字节编码,包括字母、数字、符号和控制字符等。
Latin-1编码(ISO 8859-1),采用
1个字节编码。该编码方式是为了表示欧洲语言(如荷兰语、西班牙语、法语、德语等)中的字符而设计的,共支持 256 个字符。ANSI 编码(American National Standards Institute:美国国家标准协会):采用
1个字节编码,支持英文、拉丁文等字符。两个ANSI码可以表示一个汉字。Unicode 编码:可表示所有语言的字符。采用
了十六进制表示,占用 2 个字节或 4 个字节,最多可表示超过一百万个字符。 (使用这种方式是有点浪费空间的,例如英文字符'a'其实采用一个字节存储就够了。)UTF-8 编码(Unicode Transformation Format,8-bit):
基于 Unicode 编码的可变长度字符编码,能够支持多语言和国际化的需求,使用 1~4 个字节来表示一个字符,是目前 Web 开发中最常用的字符编码方式。 (一个英文字母1个字节,一个汉字3个字节。)UTF-16 编码:
基于 Unicode 编码的可变长度字符编码,使用2 或 4 个字节来表示一个字符,应用于很多较早的系统和编程语言中。 (一个英文字母2个字节。一个汉字4个字节。)UTF-32编码:
基于Unicode编码的固定长度字符编码,其特点是每个字符占用4个字节。
常见的字符编码(了解)
GB2312 编码(小):是中国国家标准的简体中文字符集,使用
2 个字节来表示一个汉字,是GBK 编码的前身。GBK 编码(Guo Biao Ku)(中):是针对中文设计的一个汉字编码方式,使用
2 个字节来表示一个汉字,能够表示中国内地的所有汉字。GB18030编码(大):是中国国家标准GB 18030-2005《信息技术 中文编码字符集》中规定的字符集编码方案,用于取代GB2312和GBK编码。
Big5 编码(大五码):是
台湾地区的繁体中文字符集,使用2 个字节来表示一个汉字,适用于使用繁体中文的应用场景。
每种编码方式都有其特点和适用场景。在进行软件开发、网站开发和数据存储时,需要根据实际情况选择适合的编码方式。
Unicode码表的一部分
Unicode码表的一部分如下所示:
网络上也有很多在线转码工具,例如:http://www.jsons.cn/unicode/

示例代码:
// Java采用的是:Unicode编码
// 大总结:当整数型字面量没有超出byte short char的范围,可以直接将其赋值给byte short char类型的变量。
// char类型变量定义有三种方式
// 第一种:char c = 'A';
// 第二种:char c = '\u0041';
// 第三种:char c = 65;
public class CharTest03{
public static void main(String[] args){
char c1 = 'A';
System.out.println(c1);
// \\u 后面是一个十六进制的数字,这个十六进制是字符对应的Unicode码
// 表面看是一个字符串,实际上只是一个字符。
char c2 = '\u0041';
System.out.println(c2);
// 当整数型字面量没有超出char的取值范围,可以直接将其赋值给char类型的变量。
// 当声明char类型变量的时候,如果值是一个整数型字面量,那么这个字面量会被当做ASCII码值来处理。
char c3 = 97;
char c4 = 65535;
//char c5 = 65536; // 错误的。
byte b = 1;
short s = 1;
System.out.println(c3); // 'a'
char x = '\u4e2d';
System.out.println(x);
}
}输出结果:
A
A
a
中char参与的运算
Java中允许将一个
整数赋值给char类型变量,但这个整数会被当做ASCII码值来处理*需要特别注意的是,
这个码值有要求,不能超出char的取值范围*只要
没有超出byte short char的取值范围,是可以直接赋值给byte short char类型变量的System.out.println('a' + 1);结果是什么?
System.out.println('a' + 1); // 98
a表示字符'a'的ASCII码值97,1表示整数1。- char c = 'a' + 1;结果是什么?
char c = 'a' + 1; // 'b'
a表示字符'a'的ASCII码值97,1表示整数1。
97 + 1 = 98
98对应的字符是'b'- 以下程序结果是什么?
byte b = 1;
short s = 1;
char c = 1;
short num = b + s + c;运行结果:
编译错误
不兼容的类型: 从int转换到short可能会有损失精度
第一种修改方式:
int num = b + s + c;
第二种修改方式:
short num = (short)(b + s + c);- byte short char混合运算时,各自会先转换成int再做运算!!!!!
示例代码:
// char参与的运算
public class CharTest04{
public static void main(String[] args){
/*
有一个运算规则需要记住:
byte short char混合运算的时候,各自先转换成int再做运算。
*/
System.out.println('a' + 1); // 98
char x = 'a' + 1;
System.out.println(x); // 'b'
byte b = 1;
short s = 1;
char c = 1;
//short num = b + s + c;
// 第一种修改方式
// int num = b + s + c;
// 第二种修改方式
short num = (short)(b + s + c);
System.out.println(num);
/*
多种数据类型混合运算的时候,各自先转换成最大的再做运算。
*/
int k = 100;
short e = 200;
long f = 300L;
double d = 3.0;
// 错误的
//long result = k + e + f + d;
double result = k + e + f + d;
System.out.println(result);
}
}输出结果:
98
b
3
603.0boolean类型
boolean类型只有两个值:
true、false。没有其它值,没有0和1这一说。通常用于表示一些逻辑上的真假值,并在程序中进行逻辑控制,例如以下代码:
boolean gender = true;
if(gender){
System.out.println("男");
}else{
System.out.println("女");
}示例代码:
/*
布尔型:boolean
1. 在java中。boolean值只有两个true false,没有1和0这一说。
2. boolean类型的数据主要用在哪里呢?
逻辑判断,条件判断....
*/
public class BooleanTest01{
public static void main(String[] args){
// 不兼容的类型: int无法转换为boolean
//boolean flag = 1;
boolean flag = true;
boolean gender = false;
if(gender){
System.out.println("男士");
}else{
System.out.println("女士");
}
int a = 1000;
int b = 200;
System.out.println(a > b);
if(a > b){
System.out.println(a + ">" + b);
}else{
System.out.println(a + "<" + b);
}
}
}输出结果:
女士
true
1000>200数据类型-作业题
- 请定义合理的变量用来存储个人信息(姓名、年龄、性别、联系电话),并编写程序定义这些变量,给变量赋值,并打印输出。输出效果如下
姓名 年龄 性别 联系电话 张三 20 男 12545457585 李四 30 女 15622525855
示例代码:
public class DataTypeHomework01{
public static void main(String[] args){
Sting name = "张三";
int age1 = 20;
char gender1 = '男';
String tel1 = "12545457585";
Sting name = "李四";
int age2 = 30;
char gender2 = '女';
String tel2 = "15622525855";
System.out.println("姓名\t年龄\t性别\t联系电话");
System.out.println(name + "\t" + age1 + "\t" + gender1 + "\t" + tel1);
System.out.println(name + "\t" + age2 + "\t" + gender2 + "\t" + tel2);
}
}输出结果:
姓名 年龄 性别 联系电话
张三 20 男 12545457585
李四 30 女 15622525855- 有
两个变量a和b,a变量中存储的数据100,b变量中存储的数据200,请编写程序交换两个变量中的数据。让a变量存储200,让b变量存储100。并且计算两个int类型数据的和,要求最终输出200+100=300的效果。

示例代码:
public class DataTypeHomework02{
public static void main(String[] args){
int a = 100;
int b = 200;
// 交换两个变量中的数据
int temp = a;
a = b;
b = temp;
int result = a + b;
System.out.println(a + "+" + b + "=" + result);
// System.out.println(a+ "+需要变量动态的插入=" + result );
简单实现一个登录功能
String username = "jackson";
// 掌握字符串的拼接技巧。(将变量拼接到一个字符串当中。)
System.out.println("登录成功,欢迎 " + name + " 回来");
}
}输出结果:
200+100=300
登录成功, 欢迎jackson回来- 请分析以下程序中哪些是可以编译通过的,哪些是报错的
总结:
基本数据类型转换规则
八种基本数据类型中除了boolean类型之外,剩下7个都是可以互相转换的。
小容量可以自动转换成大容量,称为自动类型转换,容量从小到大排序: byte < short < int < long < float < double char <
大容量不能自动转换成小容量,必须添加强制类型转换符,编译才能通过。但是运行时可能损失精度。
当整数型字面量没有超出byte short char的范围时,可以直接将其赋值给byte short char类型的变量。
byte short char混合运算时,各自先转换成int再做运算。
多种数据类型混合运算时,各自先转换成最大的容量,再做运算。
/*
总结:基本数据类型转换规则
1.八种基本数据类型中除了boolean类型之外,剩下7个都是可以互相转换的。
2.小容量可以自动转换成大容量,称为自动类型转换,容量从小到大排序:
byte < short < int < long < float < double
char <
3.大容量不能自动转换成小容量,必须添加强制类型转换符,编译才能通过。但是运行时可能损失精度。
4.当整数型字面量没有超出byte short char的范围时,可以直接将其赋值给byte short char类型的变量。
5.byte short char混合运算时,各自先转换成int再做运算。
6.多种数据类型混合运算时,各自先转换成最大的容量,再做运算。
*/
public class DataTypeHomework03{
public static void main(String[] args){
// 通过
short s = 100;
// 报错:大容量不能直接赋值给小容量
s = s - 99;
// 通过
byte b = 100;
// 报错
b = b + 1;
// 通过
char c = 'a';
// 通过
int i = 20;
// 通过
float f = .3F;
// 通过
double d = c + i + f;
// 通过
byte b1 = 11;
// 通过
short s1 = 22;
// 报错
short x = b1 + s1;
}
}键盘录入_Scanner
1.概述:是java定义好的一个类
2.作用:将数据通过键盘录入的形式放到代码中参与运行
3.位置:java.util
4.使用:
a.导包:通过导包找到要使用的类 -> 导包位置:类上
import java.util.Scanner -> 导入的是哪个包下的哪个类
b.创建对象
Scanner 变量名 = new Scanner(System.in);
c.调用方法,实现键盘录入
变量名.nextInt() 输入整数int型的
变量名.next() 输入字符串 String型的
示例代码:
public class Demo01Scanner {
public static void main(String[] args) {
//创建对象
Scanner sc = new Scanner(System.in);
//录入int型整数
int data1 = sc.nextInt();
System.out.println("data1 = " + data1);
//录入String型字符串
String data2 = sc.next();
System.out.println("data2 = " + data2);
}
}
====================================================
public class Demo02Scanner {
public static void main(String[] args) {
//创建对象
Scanner sc = new Scanner(System.in);
//录入int型整数
int old1 = sc.nextInt();
int old2 = sc.nextInt();
int old3 = sc.nextInt();
int temp = old1>old2?old1:old2;
int max = temp>old3?temp:old3;
System.out.println(max);
}
}变量名.next():录入字符串 -> 遇到空格和回车就结束录入了 变量名.nextLine():录入字符串 -> 遇到回车就结束录入了public class Demo03Scanner { public static void main(String[] args) { Scanner sc = new Scanner(System.in); String data1 = sc.next(); String data2 = sc.nextLine(); System.out.println(data1); System.out.println(data2); } }Exception in thread "main" java.util.InputMismatchException -> 输入类型不匹配异常 at java.base/java.util.Scanner.throwFor(Scanner.java:939) at java.base/java.util.Scanner.next(Scanner.java:1594) at java.base/java.util.Scanner.nextInt(Scanner.java:2258) at java.base/java.util.Scanner.nextInt(Scanner.java:2212) at com.atguigu.a_scanner.Demo04Scanner.main(Demo04Scanner.java:8) 原因:录入的数据和要求的数据类型不一致
运算符-概述
算术运算符:+、-、*、/、%、++、-- (重点)
关系运算符:==、!=、>、>=、<、<= (重点)
逻辑运算符:&、|、!、&&、|| (重点)
按位运算符:&、|、^、~、<<、>>、>>> (重点)
赋值运算符:=、+=、-=、*=、/=、%=、&=、|=、^=、<<=、>>=、>>>= (重点)
条件运算符:?: (重点)
instanceof运算符:instanceof (了解, Java面向对象学习)
new运算符:new (了解, Java面向对象学习)
.运算符:. (了解, Java方法学习)
注意:运算符有
优先级,关于优先级不需要记忆,不确定的添加小括号,添加小括号的优先级高,会先执行
算术运算符
- :求和、字符串拼接、正数
int a = 10;
int b = +3;
int c = a + b;
System.out.println(a + "+" + b + "=" + c);
输出:10+3=13- :相减、负数
int d = 10;
int e = -3;
int f = d - e;
System.out.println(d + "-(" + e + ")=" + f); // 13
输出:10-(-3)=13- :乘积
int x = 10;
int y = 3;
System.out.println(x + "*" + y + "=" + x * y); // 30
输出:10*3=30- / :商(除法)
int m = 10;
int n = 3;
System.out.println(m + "/" + n + "=" + m / n); // 3
输出:10/3=3- % :取模(求余数)
int x = 10;
int y = 3;
System.out.println(x % y); // 1
输出:1- 取模公式:x - x / y * y
// x - x / y * y
// -10 - (-10) / 3 * 3
// -10 - (-3) * 3
// -10 - (-9)
// -10 + 9
// -1
x = -10;
System.out.println(x % y); // -1
输出:-1
// x - x / y * y
// 10 - 10 / (-3) * (-3)
// 10 - (-3) * (-3)
// 10 - 9
// 1
x = 10;
y = -3;
System.out.println(x % y); // 1
输出:1- ++ :自加1
int i = 10;
// 一元运算符
i++;
System.out.println("i = " + i); // 11
输出:i = 11- -- :自减1
i = 100;
i--;
System.out.println("i = " + i); // 99
输出:i = 99示例代码:
/*
算术运算符:
1. 算术运算符包括哪些?
+ : 求和,字符串拼接,正数
- : 相减,负数
* : 乘积
/ : 商(除以)
% : 取模(求余数)
取模公式:x - x / y * y
++ :让变量自身加1
-- :让变量自身减1
*/
public class OperatorTest01{
public static void main(String[] args){
int a = 10;
int b = +3;
int c = a + b;
System.out.println(a + "+" + b + "=" + c);
int d = 10;
int e = -3;
int f = d - e;
System.out.println(d + "-(" + e + ")=" + f);
/*
int x = 10;
int y = 3;
System.out.println(x + "*" + y + "=" + x * y);
*/
int m = 10;
int n = 3;
System.out.println(m + "/" + n + "=" + m / n);
int x = 10;
int y = 3;
System.out.println(x % y); // 1
// x - x / y * y
// -10 - (-10) / 3 * 3
// -10 - (-3) * 3
// -10 - (-9)
// -10 + 9
// -1
x = -10;
System.out.println(x % y); // -1
// x - x / y * y
// 10 - 10 / (-3) * (-3)
// 10 - (-3) * (-3)
// 10 - 9
// 1
x = 10;
y = -3;
System.out.println(x % y); // 1
int i = 10;
// 一元运算符
i++;
System.out.println("i = " + i); // 11
i = 100;
i--;
System.out.println("i = " + i); // 99
}
}输出结果:

++ 自加1 和 -- 自减1 (面试重点)
- ++ 可以出现在变量前,也可以出现在变量后。
++i; 可以 i++; 也可以
像++这种运算符,只有一边有操作数,我们把这种运算符称为:一元运算符。
a + b,这里的+两边有两个操作数,所以这种运算符被称为:二元运算符。
无论++出现在变量前,还是变量后,执行结束后,都会让变量中的值自加1.
当 ++ 出现在变量后????
先赋值后自加1
- 当 ++ 出现在变量前????
先自加1后赋值
示例代码:
/*
++ 自加1
-- 自减1
1. ++ 可以出现在变量前,也可以出现在变量后。
++i; 可以
i++; 也可以
像++这种运算符,只有一边有操作数,我们把这种运算符称为:一元运算符。
a + b,这里的+两边有两个操作数,所以这种运算符被称为:二元运算符。
2. 无论++出现在变量前,还是变量后,执行结束后,都会让变量中的值自加1.
3. 当 ++ 出现在变量后????
先赋值后自加1
4. 当 ++ 出现在变量前????
先自加1后赋值。
*/
public class OperatorTest02{
public static void main(String[] args){
int i = 10;
i++;
System.out.println("i = " + i); // 11
int a = 10;
++a;
System.out.println("a = " + a); // 11
int k = 10;
int f = k++; // 运算原理:先将k中的值赋值给f,然后k变量自己再加1
System.out.println("k = " + k); // 11
System.out.println("f = " + f); // 10
int e = 100;
int x = ++e;
System.out.println("e = " + e); // 101
System.out.println("x = " + x); // 101
int y = 100;
System.out.println(y++); // 100
System.out.println(y); // 101
int z = 100;
System.out.println(++z); //101
System.out.println(z); //101
}
}
/*
PrintStream中的源码:
public void println(int x) {
if (getClass() == PrintStream.class) {
writeln(String.valueOf(x));
} else {
synchronized (this) {
print(x);
newLine();
}
}
}
*/输出结果:
i = 11
a = 11
k = 11
f = 10
e = 101
x = 101
100
101
101
101栈数据结构(Stack)
栈结构特点:
先进后出
后进先出
相关术语:
入栈、压栈、push
出栈、弹栈、pop
栈帧
栈顶、栈底

字节码解读
查看字节码的命令:javap -c 字节码文件
查看以下程序的字节码
public class ReadClass{
public static void main(String[] args){
int i = 10;
int j = i;
j++;
}
}
字节码解读:
/*
Compiled from "ReadClass.java"
public class ReadClass {
public ReadClass();
Code:
0: aload_0
1: invokespecial #1 // Method java/lang/Object."<init>":()V
4: return
public static void main(java.lang.String[]);
Code:
0: bipush 10
2: istore_1
3: iload_1
4: istore_2
5: iinc 2, 1
8: return
}
*/
1. bipush 10:将字面量压入操作数栈
2. istore_1:将操作数栈顶的10弹出,然后将其存放到局部变量表的第1个位置
3. iload_1:将局部变量表的第1个位置的数据压入操作数栈
4. istore_2:将操作数栈顶的11弹出,然后将其存放到局部变量表的第2个位置
5. iinc 2, 1:将局部变量表的第2个位置数据加1,然后存放到局部变量表的第2个位置
6. return:结束方法查看字节码:javap -c ReadClass.class
字节码指令:(重点)
bipush指令:将字面量压入操作数栈
istore_1指令:将操作数栈中顶部数据弹出,然后将该数据存放到局部变量表的第1个位置
iload_1指令:将局部变量表1号槽位的数据压入操作数栈
iinc指令:将局部变量表中第1个位置数据加1
- 什么是局部变量表和操作数栈?

- 字节码原理演示
字节码指令:
bipush 10
istore_1
iload_1
istore_2
iinc 2, 1
return
字节码指令执行过程:
- bipush 10:将字面量压入操作数栈

- istore_1:将操作数栈顶的10弹出,然后将其存放到局部变量表的第1个位置

- iload_1:将局部变量表的第1个位置的数据压入操作数栈

- istore_2:将操作数栈顶的10弹出,然后将其存放到局部变量表的第2个位置

- iinc 2, 1:将局部变量表的第2个位置数据加1,然后存放到局部变量表的第2个位置

- return:结束方法
示例代码:
例1:
public class ReadClass01 {
public static void main(String[] args) {
int i = 10;
}
}
/*
Compiled from "ReadClass01.java"
public class ReadClass01 {
public ReadClass01();
Code:
0: aload_0
1: invokespecial #1 // Method java/lang/Object."<init>":()V
4: return
public static void main(java.lang.String[]);
Code:
0: bipush 10
2: istore_1
3: return
}
*/
例2:
public class ReadClass02 {
public static void main(String[] args) {
int i = 10;
int j = i;
}
}
/*
Compiled from "ReadClass02.java"
public class ReadClass02 {
public ReadClass02();
Code:
0: aload_0
1: invokespecial #1 // Method java/lang/Object."<init>":()V
4: return
public static void main(java.lang.String[]);
Code:
0: bipush 10
2: istore_1
3: iload_1
4: istore_2
5: return
}
*/
例3:
public class ReadClass03 {
public static void main(String[] args) {
int i = 10;
int j = i;
j++;
}
}
/*
Compiled from "ReadClass03.java"
public class ReadClass03 {
public ReadClass03();
Code:
0: aload_0
1: invokespecial #1 // Method java/lang/Object."<init>":()V
4: return
public static void main(java.lang.String[]);
Code:
0: bipush 10
2: istore_1
3: iload_1
4: istore_2
5: iinc 2, 1
8: return
}
*/
例4:
public class ReadClass04 {
public static void main(String[] args) {
int i = 10;
int j = i++;
}
}
/*
Compiled from "ReadClass04.java"
public class ReadClass04 {
public ReadClass04();
Code:
0: aload_0
1: invokespecial #1 // Method java/lang/Object."<init>":()V
4: return
public static void main(java.lang.String[]);
Code:
0: bipush 10
2: istore_1
3: iload_1
4: iinc 1, 1
7: istore_2
8: return
}
*/
例5:
public class ReadClass05 {
public static void main(String[] args) {
int i =10;
int j = ++i;
}
}
/*
Compiled from "ReadClass05.java"
public class ReadClass05 {
public ReadClass05();
Code:
0: aload_0
1: invokespecial #1 // Method java/lang/Object."<init>":()V
4: return
public static void main(java.lang.String[]);
Code:
0: bipush 10
2: istore_1
3: iinc 1, 1
6: iload_1
7: istore_2
8: return
}
*/算术运算符作业
题目1:采用字节码解读的方式分析以下
代码的区别
int i = 10;
int k = i++;
先赋值后自加1
int i = 10;
int k = ++i;
先自加1后赋值题目2:以下程序
输出结果是?
int a = 5;
int b = a++;
b = a++;
System.out.println("a = " + a); // 7
System.out.println("b = " + b); // 6
int c = 10;
int d = --c;
System.out.println("c = " + c); // 9
System.out.println("d = " + d); // 9题目3:以下程序输出结果是?
int i = 10;
int k = i++ + ++i;
System.out.println(k); // 22
1. i++ 先自加1,然后赋值给k
2. ++i 先自加1,然后赋值给k
3. 所以k = 10 + 12 = 22
int f = 10;
int m = f++ +f;
System.out.println(m); // 21
1. f++ 先自加1,然后赋值给m
2. f 再自加1,然后赋值给m
3. 所以m = 10 + 11 = 21
System.out.println(f); // 11
1. f++ 先自加1,然后赋值给f
2. 所以f = 11题目4:以下程序输出结果是?
经典面试题
int i = 10;
i = i++;
System.out.println(i); // 10
(底层实现原理,实际上是找了一个临时的变量,将10先存起来一份。再做 ++,然后将10再重新覆盖掉11)
/*
int j = 10;
int temp = j;
j++;
j = temp;
*/
/*
0: bipush 10
2: istore_1
3: iload_1
4: iinc 1, 1
7: istore_1
}
*/
int i = 10;
i = ++i;
System.out.println(i); // 11题目5:从键盘上接收一个整数三位数,请分别输出它的个位、十位、百位。
/*
题目5:从键盘上接收一个整数三位数,请分别输出它的个位、十位、百位。
*/
public class OperatorHomework04 {
public static void main(String[] args) {
java.util.Scanner scanner = new java.util.Scanner(System.in);
System.out.println("请输入一个三位数: ");
int num = scanner.nextInt();
System.out.println("个位:" + num % 10); // 取余数
System.out.println("十位:" + num / 10 % 10); // 取商和余数
System.out.println("百位:" + num / 100); // 取商
}
}输出结果:
题目6:681分钟是多少个小时+多少分钟。
/*
题目6:681分钟是多少个小时+多少分钟。
*/
public class OperatorHomework05 {
public static void main(String[] args) {
int total = 681;
int h = total / 60; // 取商
int m = total % 60; // 取余数
System.out.println(total + "分钟是" + h + "小时" + m + "分钟");
}
}输出结果:

关系运算符
关系运算符又叫做
比较运算符。包括:>、 >=、 <、 <=、 ==、 !=所有关系运算符的
运算结果都是布尔类型,不是true,就是false。
/*
关系运算符:
>
>=
<
<=
==
!=
所有的关系运算符运算结果一定是布尔类型:true/false
= 赋值运算符
== 可以比较两个值是否相等
关系运算符又叫做比较运算符。
*/
public class OperatorTest03{
public static void main(String[] args){
int a = 10;
int b = 10;
System.out.println(a > b); // false
System.out.println(a >= b); // true
System.out.println(a < b); // false
System.out.println(a <= b); // true
System.out.println(a == b); // true
System.out.println(a != b); // false
}
}逻辑运算符
逻辑运算符:
&(逻辑与)、|(逻辑或)、!(逻辑非)、^(逻辑异或)、&&(短路与)、||(短路或)逻辑运算符特点:
逻辑运算符两边的操作数要求必须是布尔类型,并且最终运算结果也一定是布尔类型。逻辑与&:两边操作数都是true,结果才是true。可以翻译为“并且”。逻辑或|:两边操作数只要有一个是true,结果就是true。可以翻译为“或者”。逻辑非!:!false就是true,!true就是false。逻辑异或^:咱俩不一样,结果就是true。短路与&&:和逻辑与&的运算结果相同。只是存在一种短路现象。(左边操作数为false时,右边操作数不执行)短路或||:和逻辑或|的运算结果相同。只是存在一种短路现象。(左边操作数为true时,右边操作数不执行)虽然短路与&&效率高于逻辑与&,但逻辑与&也有用武之地,具体看需求是怎样的。
示例代码:
/*
逻辑运算符
1.逻辑运算符有哪些?
& 逻辑与(并且) 左右两边都是true,结果就是true。只要有一个是false,结果就是false。
| 逻辑或(或者) 左右两边只要有一个是true,结果就是true。两边都是false,结果才是false。
^ 逻辑异或 咱俩不一样,结果就是true。
! 逻辑非 !false结果就是true。!true结果就是false。
&& 短路与(并且) 和逻辑与运算结果是完全相同的,没有区别。只不过&&存在短路现象。(左边是false发生短路现象。)
|| 短路或(或者) 和逻辑或运算结果是完全相同的,没有区别。只不过||存在短路现象。(左边是true发生短路现象。)
注意:开发中优先使用短路与和短路或,效率较高。
2. 逻辑运算符的特点:
逻辑运算符两边的操作数要求是布尔类型。
并且最终运算结果也是一个布尔类型。
*/
public class OperatorTest04{
public static void main(String[] args){
int a = 100;
int b = 99;
System.out.println(a > b & a > ++b); // false
System.out.println(true & true); // true
System.out.println(true & false); // false
System.out.println(false & true); // false
System.out.println(false & false); // false
System.out.println(true | true); // true
System.out.println(true | false); // true
System.out.println(false | true); // true
System.out.println(false | false); // false
System.out.println(!false); // true
System.out.println(!true); // false
System.out.println(true ^ false); // true
System.out.println(false ^ true); // true
System.out.println(true ^ true); // false
System.out.println(false ^ false); // false
/*
int x = 99;
int y = 100;
// 逻辑与 &
System.out.println(x > y & x > ++y);
System.out.println("y = " + y); // 101
*/
int x = 99;
int y = 100;
// 短路与 &&
System.out.println(x > y && x > ++y);
System.out.println("y = " + y); // 100
}
}按位运算符
按位运算符用于在
二进制位级别上处理整数数据。主要包括:
左移 <<
右移 >>
无符号右移 >>>
按位与 &
按位或 |
按位异或 ^
按位取反 ~
注意:按位运算符的操作数要求
必须是整数。否则会出现编译错误
左移 <<
它能够将一个二进制数的所有位向左移动指定的位数。左移运算符的运算规则如下:
- 将二进制数左移n位,相当于将数值乘以2的n次方。
例如,将二进制数0b1011左移2位,即为0b101100,相当于将11乘以2的2次方(即4),得到44。
左移运算符不会改变操作数的符号。左移后,右补0。
无论操作数是正数、负数还是零,左移运算符都只进行位级移动,不会改变符号。
左移运算符会对溢出进行截断。
应用一下:如何将2快速变成8?(经典面试题)
/*
经典面试题:怎么让2快速变成8?
*/
int x = 2;
//System.out.println(x * 4);
System.out.println(x << 2);
示例代码:
/*
按位运算符:
1. 左移运算符 <<
2. 规则:
左移n位,结果是乘以2的n次方。
3. 溢出的会被截断。右侧补0.
4. 左移的时候符号位不变。
5. 注意:任何位运算符,操作的都是补码。
*/
public class OperatorTest05{
public static void main(String[] args){
/*
原码:00000000 00000000 00000000 00000001
反码:00000000 00000000 00000000 00000001
补码: 00000000 00000000 00000000 00000001
左移3位:00000 00000000 00000000 00000001000(补码)
*/
int a = 1;
System.out.println(a << 3); // 8(1 * 2的3次方)
/*
原码:00000000 00000000 00000000 10000000
反码:00000000 00000000 00000000 10000000
补码: 00000000 00000000 00000000 10000000
左移2位:000000 00000000 00000000 1000000000
*/
int b = 128;
System.out.println(b << 2); // 512(128 * 2的2次方)
/*
原码:10000000 00000000 00000000 01100100
反码:11111111 11111111 11111111 10011011
补码: 11111111 11111111 11111111 10011100
左移2位:111111 11111111 11111111 1001110000(补码)
原码: 100000 00000000 00000000 0110010000
*/
int c = -100;
System.out.println(c << 2); // -400(-100 * 2的2次方)
/*
经典面试题:怎么让2快速变成8?
*/
int x = 2;
//System.out.println(x * 4);
System.out.println(x << 2);
}
}输出结果:
8
512
-400右移 >>
它能够将一个二进制数的所有位向右移动指定的位数。右移运算符的运算规则如下:
- 将二进制数右移n位,相当于将数值除以2的n次方。
例如,将二进制数0b101100右移2位,即为0b1011,相当于将44除以2的2次方(即4),得到11。
- 右移运算符对正数、负数和零的处理方式不同。
对于正数,符号位不变,右移时左补0
对于负数,符号位不变,右移时左补1。
对于零,右移运算符操作后结果仍为零。
- 右移运算符会对溢出进行截断。
示例代码:
/*
右移运算符 >>
它能够将一个二进制数的所有位向右移动指定的位数。右移运算符的运算规则如下:
1. 将二进制数右移n位,相当于将数值除以2的n次方。
2. 右移运算符对正数、负数和零的处理方式不同。
对于正数,符号位不变,右移时左补0
对于负数,符号位不变,右移时左补1。
对于零,右移运算符操作后结果仍为零。
3. 右移运算符会对溢出进行截断。
*/
public class OperatorTest06{
public static void main(String[] args){
/*
原码:00000000 00000000 00000000 00000001
反码:00000000 00000000 00000000 00000001
补码: 00000000 00000000 00000000 00000001
右移1位:000000000 00000000 00000000 0000000
*/
int a = 1;
System.out.println(a >> 1); // 0
/*
00000000 00000000 0000000 10000000
000000000000 00000000 0000000 1000
*/
int b = 128;
System.out.println(b >> 4); // 8
/*
原码:10000000 00000000 00000000 10000000
反码:11111111 11111111 11111111 01111111
补码:11111111 11111111 11111111 10000000
右移:111111111111 11111111 11111111 1000(补码)
原码:100000000000 00000000 00000000 1000
*/
int c = -128;
System.out.println(c >> 4); // -8
}
}输出结果:
0
8
-8无符号右移 >>>
它能够将一个二进制数的所有位向右移动指定的位数,而不考虑符号位。无符号右移运算符的运算规则如下:
将二进制数右移n位,相当于将
数值除以2的n次方,并将最高位填充为0。任意一个数字经过无符号右移之后,最终结果一定是非负数(0或正整数)
无符号右移运算符对溢出进行截断。
示例代码:
/*
无符号右移:>>>
1. 溢出后的截断。
2. 无符号右移之后,最终的结果一定是0或者正整数。
3. 无符号右移之后,左侧补0.(不管是正数还是负数,都是补0)
*/
public class OperatorTest07{
public static void main(String[] args){
/*
原码:10000000
反码:11111111
10000000(补码)
00100000(无符号右移2位)
*/
byte b = -128;
/*
为什么输出结果不是32?
b >>> 2。
byte和int混合运算。会先将byte转换成int,再做运算。
int b = -128;
原码:10000000 00000000 00000000 10000000
反码:11111111 11111111 11111111 01111111
补码:11111111 11111111 11111111 10000000
右移:0011111111 11111111 11111111 100000(补码)
*/
System.out.println(b >>> 2); // 1073741792
//System.out.println(0b00111111111111111111111111100000); // 1073741792
// 11100000(补码)
// 10100000(原码)
System.out.println((byte)(b >>> 2)); // -32
/*
原码:10000000 00000000 00000000 01011010
反码:11111111 11111111 11111111 10100101
补码:11111111 11111111 11111111 10100110
右移:00011111111 11111111 11111111 10100
*/
int x = -90;
System.out.println(x >>> 3);
System.out.println(0b00011111111111111111111111110100);
/*
00000000 00000000 00000000 01011010
00000000000 00000000 00000000 01011
*/
int y = 90;
System.out.println(y >>> 3); // 11
}
}输出结果:
1073741792
-32
536870900
536870900
11按位与 &
按位与运算符:&
`1&1 -> 1`
`1&0 -> 0`
`0&1 -> 0`
`0&0 -> 0`- 将两个整数的二进制表示
按位进行与运算,只有当相应的二进制位都为1时,结果才为1,否则结果为0
int a = 32;
int b = 25;
System.out.println(a & b); // 0
a的二进制:00100000
b的二进制:00011001
按位与之后:00000000应用一下:请使用
按位与运算符判断某个数字是否为奇数?
思路:拿着这个数字和1进行按位与,如果结果是1,则表示该数字为奇数。
/*
怎么判断一个数字是否为奇数?
第一种方式:对2取模,结果不等于0,表示奇数。
第二种方式:让这个数字和1进行按位与操作,结果是1,表示是奇数。
*/
int num = 35;
if(num % 2 != 0){
System.out.println(num + "是奇数");
}
/*
00100011
& 00000001
-------------
00000001
*/
if((num & 1) == 1){ // 注意运算符优先级问题。
System.out.println(num + "是奇数");
// 先计算num & 1,再进行判断。
// 1 & 1 = 1
}示例代码:
/*
按位运算符:
按位与运算符:&
1&1 -> 1
1&0 -> 0
0&1 -> 0
0&0 -> 0
*/
public class OperatorTest08{
public static void main(String[] args){
// 00100011
int a = 35;
// 00011010
int b = 26;
/*
00100011
& 00011010
-------------------
00000010
*/
System.out.println(a & b); // 2
/*
怎么判断一个数字是否为奇数?
第一种方式:对2取模,结果不等于0,表示奇数。
第二种方式:让这个数字和1进行按位与操作,结果是1,表示是奇数。
*/
int num = 35;
if(num % 2 != 0){
System.out.println(num + "是奇数");
}
/*
00100011
& 00000001
-------------
00000001
*/
if((num & 1) == 1){ // 注意运算符优先级问题。
System.out.println(num + "是奇数");
}
}
}输出结果:
2
35是奇数
35是奇数按位或 |
- 将两个整数的
二进制表示按位进行或运算,只有当相应的二进制位都为0时,结果才为0,否则结果为1
int a = 32;
int b = 25;
System.out.println(a | b); // 57
a的二进制:00100000
b的二进制:00011001
按位或之后:00111001- 应用一下:请将0这个数字中第4位的二进制位设置为1(按位或的具体应用,将某个二进制位设置为1)
int flag = 0;
flag = flag | (1 << 3);
System.out.println(flag); // 8
1的二进制:00000001
左移3位:00001000
0的二进制:00000000
按位或之后:00001000示例代码:
/*
按位或运算符:
1|0 :1
0|1 :1
1|1 :1
0|0 :0
*/
public class OperatorTest09{
public static void main(String[] args){
// 00100011
int a = 35;
// 00011011
int b = 27;
/*
00100011
| 00011011
----------------
00111011
*/
System.out.println(a | b); // 59
/*
具体应用:设置标志位。(按位或的具体应用。)
将0这个数字的二进制位低位第4个二进制位设置为1.
*/
int flag = 0;
flag = flag | (1 << 3);
System.out.println(flag); // 8
}
}输出结果:
59
8按位异或 ^
按位异或:^ 1 ^ 1: 0 0 ^ 0: 0 1 ^ 0: 1 0 ^ 1: 1
- 将两个整数的二进制表示按位进行
异或运算,只有当相应的二进制位不同,结果才为1,否则结果为0
int a = 100;
int b = 200;
System.out.println(a ^ b); // 172
a的二进制:01100100
b的二进制:11001000
按位异或之后:10101100按位异或运算符具有自反性,所谓的
自反性是指:数字A连续对数字B进行两次按位异或运算之后,可以得到原始的数字A。因为按位异或运算符具有这样的特征,所以在密码学方面应用广泛。通常使用它可以完成加密和解密操作。应用一下:按位异或可以实现简单的加密和解密。
/*
具体应用:加密解密
*/
int data = 2147483647; // 原始数据,这个数据将来要进行加密的。
// 对以上的data进行加密
// 秘钥(私人的,只有我知道这个钥匙)
int key = 483;
// 加密
int password = data ^ key;
System.out.println(password); // 2147483164
// 解密
int num = password ^ key;
System.out.println(num);示例代码:
/*
按位异或:^
1 ^ 1: 0
0 ^ 0: 0
1 ^ 0: 1
0 ^ 1: 1
按位异或运算符具有自反性:
a ^ b ^ b ==> a
*/
public class OperatorTest10{
public static void main(String[] args){
// 00001010
int a = 10;
// 00000011
int b = 3;
/*
00001010
^ 00000011
------------------
00001001
*/
System.out.println(a ^ b); // 9
/*
00001001
^ 00000011
----------------
00001010
*/
System.out.println(a ^ b ^ b); // 10
/*
具体应用:加密解密
*/
int data = 2147483647; // 原始数据,这个数据将来要进行加密的。
// 对以上的data进行加密
// 秘钥(私人的,只有我知道这个钥匙)
int key = 483;
// 加密
int password = data ^ key;
System.out.println(password); // 2147483164
// 解密
int num = password ^ key;
System.out.println(num);
}
}输出结果:
9
10
2147483164
2147483647按位取反 ~
- 将整数的二进制表示按位进行取反运算,即0变为1,1变为0
System.out.println(~100); // -101
100的二进制:01100100
取反后:10011011(这是一个补码哦)
将补码转为原码:11100101 (-101)- 应用一下:位清除操作(将某个二进制位中指定位清除为0),例如有这样一个二进制:0b1111111111,将第4个低位清除为0
/*
按位取反的具体应用:将某个二进制位清0
*/
int value = 0b1111111111; // 待清0的数据(将低位第4个清0)
int flag = (1 << 3);
左移3位,得到00001000
00000000 00000000 00000000 00001000 // flag
11111111 11111111 11111111 11110111 // flag取反
&00000000 00000000 00000011 11111111
------------------------------------
00000000 00000000 00000011 11110111
value = value & (~flag);
System.out.println(value); // 1015示例代码:
/*
按位取反:
~
~1 : 0
~0 : 1
*/
public class OperatorTest11{
public static void main(String[] args){
// 00000000 00000000 00000000 00001010
int a = 10;
/*
取反:
11111111 11111111 11111111 11110101(补码)
10000000 00000000 00000000 00001011(原码)
*/
System.out.println(~a); // -11
/*
按位取反的具体应用:将某个二进制位清0
*/
int value = 0b1111111111; // 待清0的数据(将低位第4个清0)
int flag = (1 << 3);
// 11111111 11111111 11111111 11110111
//&00000000 00000000 00000011 11111111
//-------------------------------------
// 00000000 00000000 00000011 11110111
value = value & (~flag);
System.out.println(value);
System.out.println(0b1111110111);
}
}输出结果:
-11
1015
1015赋值运算符
- 基本赋值运算符:=
= 等号右边先执行,将直接结果赋值给左边的变量
- 扩展赋值运算符
+=、-=、*=、/=、%=、&=、|=、^=、>>=、<<=、>>>=
以 += 为例。i += 3; 表示 i = i + 3;+= 就是先+后=,也就是先求和,然后将求和的结果重新赋值。
对于扩展赋值运算符来说,有一个非常重要的运算规则需要注意:扩展赋值运算符不会改变运算结果的类型。(即使精度损失了,也不会改变运算结果类型。)
示例代码:
/*
赋值运算符:
基本的赋值运算符:
=
扩展的赋值运算符:
+=
-=
*=
/=
%=
以下的很少用:
>>=
<<=
>>>=
&=
|=
^=
~=
特别注意:对于扩展赋值运算符来说,中间不能使用空格。
+= 是正确的。
+ = 是错误的。
对于扩展的赋值运算符来说,永远都不会改变运算结果类型。哪怕精度损失。
*/
public class OperatorTest12{
public static void main(String[] args){
// 基本的赋值运算符
int i = 10;
// 重新赋值
i = 20;
System.out.println("i = " + i);
// 可以
byte b = 127;
// 报错
//byte b2 = 128;
// +=
int k = 100;
// 以下这个代码完成了累加,给k再累加200
k = k + 200;
System.out.println("k = " + k);
int e = 100;
// 累加效果
e += 200; // 等同于 e = e + 200;
System.out.println("e = " + e);
int x = 10;
x *= 3;
System.out.println("x = " + x); // 30
x = 10;
x /= 3;
System.out.println("x = " + x); // 3
x = 10;
x %= 3;
System.out.println("x = " + x); // 1
x -= 100;
System.out.println("x = " + x); // -99
/*
i += 10; 和 i = i + 10; 完全一样吗?
i += 10; 自带强制类型转换。
i = i + 10; 没有强制类型转换。
*/
byte m = 10;
// 错误: 不兼容的类型: 从int转换到byte可能会有损失
//m = m + 20;
m += 20; // 底层实际上对应的是:m = (byte)(m + 20);
System.out.println("m = " + m);
m += 100000; // 底层实际上对应的是:m = (byte)(m + 100000);
System.out.println("m = " + m);
}
}输出结果:
i = 20
k = 300
e = 300
x = 30
x = 3
x = 1
x = -99
m = 30
m = -66条件运算符(三元运算符)
格式:
条件表达式 ? 表达式1 : 表达式2;执行流程:首先计算条件表达式的值,如果条件表达式的值为true,则执行表达式1,并返回表达式1的结果;如果条件表达式的值为false,则执行表达式2,并返回表达式2的结果。
下面是一个条件运算符的简单示例:
int a = 5, b = 7;
int max = (a > b) ? a : b;
System.out.println("最大值为:" + max);
在上述代码中,首先定义了两个变量 a 和 b,然后使用条件运算符比较这两个变量的大小,取其中较大值作为变量 max 的值,最后输出结果。
当 a > b 的结果为 false 时,条件运算符的结果为表达式2,即 b 的值为变量 max 的值。
当 a > b 的结果为 true 时,条件运算符的结果为表达式1,即 a 的值为变量 max 的值。- 总的来说,条件运算符在 Java 中的使用相对简单,能够减少代码重复和代码量,常用于简单的条件处理和表达式值的判断。
示例代码:
/*
条件运算符:三元运算符:三目运算符:
1. 语法格式:
布尔表达式 ? 表达式1 : 表达式2
2. 运算原理?
当布尔表达式结果是true的时候,将表达式1的执行结果作为整个表达式的执行结果。
当布尔表达式结果是false的时候,将表达式2的执行结果作为整个表达式的执行结果。
*/
public class OperatorTest13{
public static void main(String[] args){
// 不是一个java语句。
//10;
// 不是一个java语句。
//'男';
boolean sex = false;
// 不是一个java语句。
//sex ? '男' : '女';
System.out.println(sex ? '男' : '女');
char c = sex ? '男' : '女';
System.out.println(c);
// 错误: 不兼容的类型: 条件表达式中的类型错误
//char cc = sex ? '男' : "女";
System.out.println(sex ? '男' : "女");
String s = sex ? "男" : "女";
System.out.println(s);
/*
请使用三目运算符完成两个数字中较大数字的筛选。
*/
int a = 300;
int b = 200;
System.out.println(a > b ? a : b);
}
}输出结果:
女
女
女
女
300运算符-作业题
- 编写 Java 代码,输入一个半径值,计算圆的面积和周长,并输出结果。注意:圆的面积公式为 π * r * r,周长公式为 2 * π * r,其中 π 取 3.14
/*
编写 Java 代码,输入一个半径值,计算圆的面积和周长,并输出结果。注意:圆的面积公式为 π * r * r,周长公式为 2 * π * r,其中 π 取 3.14
*/
import java.util.Scanner;
public class OperHomework01{
public static void main(String[] args){
// 1.接收用户的输入,可以让用户输入一个double数据
Scanner scanner = new Scanner(System.in);
System.out.print("请输入圆的半径:");
double r = scanner.nextDouble();
// 2.计算圆的面积
// 2.1 定义1个变量:π
double π = 3.14;
// 2.2 带入公式计算圆的面积
double area = π * r * r;
// 3.计算圆的周长
// 3.1 带入公式计算圆的周长
double perimeter = 2 * π * r;
System.out.println("半径值是" + r + "的圆面积是" + area);
System.out.println("半径值是" + r + "的圆周长是" + perimeter);
}
}- 假设变量 a、b、c 分别为 6、9、10,请编写 Java 代码输出它们的最大值
/*
假设变量 a、b、c 分别为 6、9、10,请编写 Java 代码输出它们的最大值
*/
public class OperHomework02{
public static void main(String[] args){
int a = 60, b = 66, c = 70;
int max = a > b ? (a > c ? a : c) : (b > c ? b : c);
System.out.println(max);
}
}- 编写 Java 代码,输入三个整数,分别判断第一个数是否大于 0,第二个数是否小于 10,第三个数是否是偶数。如果都满足条件,则输出“三个条件都满足”,否则输出“不满足所有条件”
/*
编写 Java 代码,输入三个整数,分别判断第一个数是否大于 0,
第二个数是否小于 10,第三个数是否是偶数。如果都满足条件,
则输出“三个条件都满足”,否则输出“不满足所有条件”
*/
import java.util.Scanner;
public class OperHomework03{
public static void main(String[] args){
Scanner s = new Scanner(System.in);
System.out.println("请依次输入3个整数");
System.out.print("请输入第一个整数:");
int a = s.nextInt();
System.out.print("请输入第二个整数:");
int b = s.nextInt();
System.out.print("请输入第三个整数:");
int c = s.nextInt();
if(a > 0 && b < 10 && c % 2 == 0){
System.out.println("三个条件都满足");
}else{
System.out.println("不满足所有条件");
}
System.out.println((a > 0 && b < 10 && c % 2 == 0) ? "三个条件都满足" : "不满足所有条件");
}
}- 编写 Java 代码,输入一个年份,判断它是否是闰年。若该年份能被 4 整除且不能被 100 整除,或者能被 400 整除,则该年份为闰年。输出结果为“该年是闰年”或“该年不是闰年”
/*
编写 Java 代码,输入一个年份,判断它是否是闰年。
若该年份能被 4 整除且不能被 100 整除,或者能被 400 整除,则该年份为闰年。
输出结果为“该年是闰年”或“该年不是闰年”
*/
import java.util.Scanner;
public class OperHomework04{
public static void main(String[] args){
Scanner s = new Scanner(System.in);
System.out.print("请输入一个年份:");
int year = s.nextInt();
if((year % 4 == 0 && year % 100 != 0) || year % 400 == 0){
System.out.println(year + "是闰年");
}else{
System.out.println(year + "不是闰年");
}
}
}控制语句-概述
控制语句:用于控制程序的
执行流程,改变程序执行的次序。
- 分支语句
if语句
switch语句
- 循环语句
for循环
while循环
do while循环
- 跳转语句
break语句
continue语句
分支语句if
if语句:用于判断一个条件是否成立,如果成立则执行if语句块中的语句,否则不执行。
if语句的
第一种写法:
if(布尔表达式){
分支语句;
}原理:如果
布尔表达式true,则执行分支语句。如果为false,则不执行。
练一练:
- 编写一个程序,输入一个人的年龄age,如果他的年龄大于等于18岁,则输出"你已经成年了",否则不输出任何东西。
/*
编写一个程序,输入一个人的年龄age,如果他的年龄大于等于18岁,则输出"你已经成年了",否则不输出任何东西。
*/
import java.util.Scanner;
public class IfTest01 {
public static void main(String[] args) {
// 编写一个程序,输入一个人的年龄age,如果他的年龄大于等于18岁,则输出"你已经成年了",否则不输出任何东西。
Scanner s = new Scanner(System.in);
System.out.print("请输入您的年龄: ");
int age = s.nextInt();
if (age >= 18){
System.out.println("你已经成年了?");
}
}
}- 编写一个程序,输入一个学生的分数score(百分制),如果学生的分数大于等于60,则输出"你已经及格了",否则不输出任何东西。
/*
编写一个程序,输入一个学生的分数score(百分制),如果学生的分数大于等于60,则输出"你已经及格了",否则不输出任何东西。
*/
import java.util.Scanner;
public class IfTest02 {
public static void main(String[] args) {
Scanner s = new Scanner(System.in);
System.out.print("请输入您的成绩: ");
double score = s.nextDouble();
if(score >= 60){
System.out.println("恭喜你及格了");
}
}
}- 编写一个程序,输入一个学生的分数score(百分制),如果学生的分数大于等于60,则输出"你已经及格了",如果学生的分数小于60,则输出“很抱歉,你不及格”。
/*
编写一个程序,输入一个学生的分数score(百分制),如果学生的分数大于等于60,则输出"你已经及格了",如果学生的分数小于60,则输出“很抱歉,你不及格”。
*/
import java.util.Scanner;
public class IfTest02 {
public static void main(String[] args) {
Scanner s = new Scanner(System.in);
System.out.print("请输入您的成绩: ");
double score = s.nextDouble();
if(score >= 60){
System.out.println("恭喜你及格了");
}
if(score < 60){
System.out.println("很抱歉你没有及格");
}
}
}if语句的
第二种写法:
if(布尔表达式){
分支1;
}else{
分支2;
}原理:如果
布尔表达式true,则执行分支1,否则执行分支2。
- 编写一个程序,输入一个学生的分数score(百分制),如果学生的分数大于等于60,则输出"你已经及格了",如果学生的分数小于60,则输出“很抱歉,你不及格”。
改进版:
/*
编写一个程序,输入一个学生的分数score(百分制),
如果学生的分数大于等于60,则输出"你已经及格了",
如果学生的分数小于60,则输出“很抱歉,你不及格”。
*/
import java.util.Scanner;
public class IfTest02{
public static void main(String[] args){
Scanner s = new Scanner(System.in);
System.out.print("请输入您的成绩:");
double score = s.nextDouble();
/*
if(score >= 60){
System.out.println("你已经及格了");
}
if(score < 60){
System.out.println("很抱歉,你不及格!");
}
*/
// 以上程序的效率比较低,判断了两次。
// 像这种只有两种情况的,建议使用if else语句。效率高。因为只判断一次。
if(score >= 60){
System.out.println("你已经及格了");
}else{
System.out.println("很抱歉,你不及格!");
}
/*
if(score >= 60)
System.out.println("你已经及格了!!!!");
else
System.out.println("很抱歉,你不及格!!!!!");
*/
/*
if(score >= 60)
System.out.println("你已经及格了!!!!");
System.out.println("Hello World!");
else
System.out.println("很抱歉,你不及格!!!!!");
*/
}
}注意:
if(score >= 60)
System.out.println("你已经及格了!!!!");
System.out.println("Hello World!");
else
System.out.println("很抱歉,你不及格!!!!!");
报错:有eles但是没有if- 编写一个程序,输入一个数字num,判断它是否为7的倍数。如果是,则输出"num是7的倍数",否则输出"num不是7的倍数"。
编写一个程序,输入一个数字num,判断它是否同时为3的倍数和5的倍数。如果是,则输出"num既是3的倍数又是5的倍数",否则输出"num不同时是3的倍数和5的倍数"。
/*
编写一个程序,输入一个数字num,判断它是否为7的倍数。如果是,则输出"num是7的倍数",否则输出"num不是7的倍数"。
*/
import java.util.Scanner;
public class IfTest03 {
public static void main(String[] args) {
Scanner s = new Scanner(System.in);
System.out.print("请输入一个整数: ");
int num = s.nextInt();
if(num % 7 == 0){
System.out.println(num + "是7的倍数");
}else{
System.out.println(num + "不是7的倍数");
}
/*
编写一个程序,输入一个数字num,判断它是否同时为3的倍数和5的倍数。
如果是,则输出"num既是3的倍数又是5的倍数",否则输出"num不同时是3的倍数和5的倍数"。
*/
if(num % 3 == 0 && num % 5 == 0){
System.out.println(num + "既是3的倍数又是5的倍数");
}else{
System.out.println(num + "不同时是3的倍数和5的倍数");
}
}
}- 编写程序模拟用户登录,用户名和密码正确则登录成功,反之则登录失败。
/*
模拟用户登录,用户名和密码正确则登录成功,反之则登录失败。
注意:字符串的比较不能使用“==”,必须手动调用equals方法来进行比较。(先记住,后面就知道了。)
String name = "admin";
if(name == "admin"){} 这种写法是不专业的,错误的。不建议的。
应该这样写:
if( name.equals("admin") ){}
*/
import java.util.Scanner;
public class IfTest04 {
public static void main(String[] args) {
Scanner s = new Scanner(System.in);
System.out.print("欢迎用户使用本系统, 请先进行用户登录。");
System.out.print("请输入用户名: ");
String username = s.next();
System.out.print("请输入密码: ");
String password = s.next();
if (username.equals("admin") && password.equals("abc123")) {
System.out.print("登录成功");
} else {
System.out.print("用户名不存在或者密码错误, 登录失败!");
}
}
}if语句的
第三种写法:
if(布尔表达式){
分支1;
}else if(布尔表达式){
分支2;
}else if(布尔表达式){
分支3;
}原理:从上往下
依次判断布尔表达式,只要遇到布尔表达式为true,则执行对应的分支,整个if结束。如果都是false,没有分支执行。
if语句的
第四种写法:
if(布尔表达式){
分支1;
}else if(布尔表达式){
分支2;
}else if(布尔表达式){
分支3;
}else{
分支4;
}原理:从上往下
依次判断布尔表达式,只要遇到布尔表达式为true,则执行对应的分支,整个if结束。如果都是false,没则执行最后的else分支。
练一练:
- 编写一个程序,输入一个数字num,判断它是否为正数、负数或零,并输出对应的信息。例如,如果num是正数,则输出"num是正数",如果num是负数,则输出"num是负数",如果num等于0,则输出"num等于0"。
分支语句switch
switch语句完整格式:

注意:
switch语句中表达式的expression值必须是
int,枚举,字符串。case标签的值必须是
常量或常量表达式。default标签是可选的,如果没有default标签,则执行完所有case标签后,程序会
报错。
循环语句for
for循环:用于
重复执行某段代码,直到指定的条件为止。

for循环原理:

注意:
for循环的
初始化表达式和循环条件表达式是可选的,如果没有,则循环条件表达式默认为true。for循环的
更新表达式是可选的,如果没有,则循环体只执行一次。
循环语句while
- while循环:
while循环语法格式:
while(布尔表达式){
循环体;
}while循环:用于
重复执行某段代码,直到指定的条件为止。
while循环执行原理:

执行原理:只要
布尔表达式为true就会一直循环,直到布尔表达式结果为false,循环结束。while循环体的执行次数可能是:
0 - n次。for循环适用于循环次数固定的。while循环适用于循环次数不固定的。
练一练:
猜数字小游戏:程序生成 1~100 之间的一个随机数,要求用户猜这个数是多少,程序做出相应的提示,如果猜中了则输出恭喜信息,并记录猜的次数,如果猜错了可以提示用户再猜一次。使用 while 循环实现游戏的主体流程。
循环语句do-while
- do while循环:
do while循环语法格式:
do{
循环体;
}while(布尔表达式);执行原理:先执行一次循环体,再判断布尔表达式,为true继续循环,直到布尔表达式结果为false,循环结束。
do while循环体的执行次数可能是:1 - n次。
do while循环比较适合用在不管条件是否成立,第一次必须要执行的业务。
练一练:
求平均数:要求用户输入一组数字,用 -1 表示输入结束,使用 do-while 循环计算这些数字的平均数并输出。要使用一个计数器来记录输入的数字个数,遇到 -1 则终止输入并计算平均数。
跳转语句break
break; 出现在switch语句用来终止switch语句的执行。 出现在循环中,用来终止循环的执行。 break; 用来终止离它最近的循环。 break 循环标记; 用来终止指定的循环。
- break语句:
break语句语法格式:
break;作用:用于
跳出循环,结束循环。注意:break语句只能用于循环语句和switch语句中。
跳转语句continue
- continue语句:
continue语句语法格式:
continue;continue; 终止当前本次循环,直接进入下一次循环继续执行。 continue; 终止当前本次循环,直接进入离它最近的循环继续。 continue 循环标记; 终止当前本次循环,直接进入指定的循环继续。
作用:用于
跳过当前循环,继续下一次循环。注意:continue语句只能用于循环语句中。
跳转语句return
- return语句:
return语句语法格式:
return 表达式;作用:用于
结束方法的执行,并返回值。注意:return语句只能用于方法中。
控制语句-练习题
请设计一个程序,不断的从键盘上接收一个正整数或者负整数,要求计算所有正整数的和,如果接收到0,则程序退出。
请编写一个程序,打印1~100所有的奇数,但是跳过所有以数字 3 结尾的数字。
韩信点兵,三人一组余两人,五人一组余三人,七人一组余四人,请问最少需要多少士兵
方法
方法是什么,有什么用
方法(Method)是一段可以被重复利用的代码片段。
一个方法一般都是一个独立的功能。
方法只定义,不去调用,是不会执行的。
方法要执行的话,肯定有一个位置调用它。
示例代码:
/*
方法的本质到底是什么?方法的作用是什么?
方法本质上就是一段可以被重复利用的代码片段。
并且每一个方法都是一个独立的封装好的功能。
方法只定义,不去调用,是不会执行的。
方法要执行的话,肯定是有一个位置调用了这个方法。
*/
public class MethodTest02 {
// 入口
public static void main(String[] args) {
// 调用sum方法,完成求和功能。
// 请编写程序计算100和200的和。
sum(100, 200); // 方法的调用。
// 请编写程序计算666和888的和。
sum(666, 888); // 方法的调用。
// 请编写程序计算123和456的和。
sum(123, 456); // 方法的调用。
}
// 单独定义一个方法,这个方法完成一个具体的功能。求和功能。
// 方法的定义。
public static void sum(int a, int b) {
int c = a + b;
System.out.println(a + "+" + b + " = " + c);
}
}方法的定义和调用
- 语法格式:
语法格式:
[修饰符列表] 返回值类型 方法名(形式参数列表){
方法体;
}修饰符列表:目前修饰符列表这一块,统一编写
public static。返回值类型:
可以是java语言中
任何一种数据类型。包括基本数据类型,引用数据类型。例如:byte short int long float double boolean char String....
如果方法执行结束的时候没有返回任何数据给调用者,返回值类型写:void。
切记:不能空着不写。
返回值类型是int表示:方法结束的时候会返回一个整数给调用者。
返回值类型是String表示:方法结束的时候会返回一个字符串给调用者。
返回值类型是void表示:方法结束的时候不返回任何数据给调用者。
当
返回值类型不是void的时候,方法在结束的时候必须使用“return 值;”语句来完成数据的返回。
- 方法名:只要是合法的标识符即可。但最好见名知意。方法通常反应行为,所以方法名一般为动词。
. 形式参数列表:简称形参。用来接收数据。参数个数0~N个。如果有多个,使用逗号隔开。例如(int a, double b, long c)。每一个形式参数都可以看做局部变量。
每个方法都有
方法体,方法体是一对大括号。在大括号中编写Java语句。方法的调用:如果修饰符列表中
static关键字,采用“类名.方法名(实际参数列表);”调用方法。
调用者和被调用者在同一个类中,
“类名.”可以省略。实际参数列表:简称实参,实参和形参要一一对应,个数对应,数据类型对应。
调用方法,如果方法执行结束后有返回值,可以采用变量接收该返回值。当然,也可以选择不接收。
方法的定义:
修饰符 返回值类型 方法名(参数列表){
方法体;
}- 方法的调用:
方法名(参数列表);- 方法的返回值:
方法名(参数列表) 返回值;- 方法的重载:
修饰符 返回值类型 方法名(参数列表){
方法体;
}
修饰符 返回值类型 方法名(参数列表){
方法体;
}- 方法的作用域:
public class Test{
public static void main(String[] args){
int a = 10;
method(a);
}
// 定义方法
public static void method(int a){
int b = 20;
System.out.println(a + b);
}
}任何一个方法有一个方法体,方法体是一对大括号。
方法的调用:
如果修饰符列表中
static关键字,采用“类名.方法名(实际参数列表);”调用方法。实际的参数列表:实参和形参要一一对应,个数对应,数据类型对应。
方法的重载
方法的递归调用
- 什么是方法的递归调用?
本质:
方法自己调用自己。
- 递归时,内存是如何变化的?
每一次递归调用,都会在栈内存中开辟一个新的空间。
- 递归使用注意事项?
所有的递归调用,必须要有结束条件。
递归必须要有结束条件。
递归和循环都能完成的话,优先选择循环。(递归更耗费内存。)
递归有结束条件,就一定不会栈内存溢出吗?
递归调用时,必须保证递归调用的次数必须小于等于结束条件。
实际开发中,使用递归时,发生栈内存溢出,你该怎么办?
首先可以调整栈内存的大小。扩大内存。
如果扩大内存之后,仍然发生栈内存溢出,可能是递归结束条件不对,需要进行代码的修改。
递归
调用内存图:

元空间(Metaspace):存放类的信息。(
使用的是本地内存)。栈内存(Stack):存放方法的信息。(进行
压栈和弹栈操作。后进先出)。堆内存(Heap):存放对象的信息。(
存放返回值)。
练一练:
- 使用递归计算n的阶乘。
public static void main(String[] args) {
// 计算5的阶乘
int n = 5;
int result = num(n);
System.out.println(n + "的阶乘是:" + result);
}
// 定义一个递归方法
public static int num(int n) {
if (n == 1) {
return 1;
} else {
return n * num(n - 1);
}
}
斐波那契数列:
斐波那契数列概念:当前数字 = 前两个相邻的数字之和。
- 假如有一对兔子,从出生后第3个月起每个月都生一对兔子,小兔子长到第三个月后每个月又生一对兔子,假如兔子都不死,请问第n个月后的兔子有多少对
/*
假如有一对兔子,从出生后第3个月起每个月都生一对兔子,
小兔子长到第三个月后每个月又生一对兔子,假如兔子都不死,
请问第n个月后的兔子有多少对
*/
public class Rabbit {
public static void main(String[] args) {
// n变量, 表示第n个月
int n = 6;
int total = rabbit(n);
System.out.println(n + "月的时候兔子总数: " + total); // 13
}
// 这个rabbit方法就是用来计算第n个月的时候兔子总对数。
public static int rabbit(int n) {
if(n == 1 || n == 2) { // 递归的结束条件,当n为1或者2的时候返回1对兔子。因为兔子从出生后第3个月起每个月都生一对兔子
// 递归的结束条件
return 1;
}
return rabbit(n-1) + rabbit(n-2); // 当月的兔子总数 = 上个月兔子总数 + 上上个月兔子的总数
}
}
/*
月份 兔子数量(多少对) 最终多少对
------------------------------------------------------------------------------------------------------------
1 1(新生1) 1
2 1(新生2) 1
3 1(成熟) + 1(新生1) 2
4 1(成熟) + 1(新生1) + 1(新生2) 3
5 1(成熟) + 1(新生1) + 1(新生2) + 1(成熟) + 1(新生1) 5
6 1(成熟) + 1(新生1) + 1(新生2) + 1(成熟) + 1(新生1) + 1(成熟) + 1(新生1) + 1(新生2) 8
当月的兔子总数 = 上个月兔子总数 + 本月所有新生的兔子
当月的兔子总数 = 上个月兔子总数 + 上上个月兔子的总数
1
1
2
3
5
8
13
21
34
55
89
144 12月份的时候兔子的总对数!!!
规律:当前数字 = 前两个相邻的数字之和。
这种数字被称为斐波那契数字。
斐波那契数字组合起来的叫做:斐波那契数列。
*/package和import
package
package包机制:
- package是包机制,有什么用?
便于管理。不同的类放在不同的包下。好维护。
- package语句
只能写1行,并且只能写在java源码的第一行。

注意:
package语句只能出现在java代码第一行。
- 怎么定义包?
package 包名;
- 定义了包之后,怎么带包编译?
javac -d . PackageTest01.java
语法:javac -d 生成目录 源文件路径
当然,也可以不带包编译,编译之后,可以手动创建目录,这种方式比较麻烦。
- 一旦定义了package之后,有了包之后,怎么运行java程序呢?
- 重点强调:有了package之后,完整的类名是带包名的。所以运行的时候一定要添加包名: java org.apache.struts.PackageTest02
- package命名规范:
所有的包名都是小写。
包名的命名规范:
公司域名倒序 + 项目名 + 模块名 + 功能名;
- 例如:
com.powernode.oa.empmgt.service;
com.powernode 公司域名倒序。
oa 是项目名(办公系统)。
empmgt 是模块名(员工管理模块)。
service 是功能名(服务层)。
import
import:引入其他类。

注意:
不在同一个包下调用方法提示错误。import语句用来引入其他类。
- import语句用来引入其他类。
import 包名.类名;
import com.powernode.oa.empmgt.service.UserService;A类中使用B类,
A类和B类不在同一个包下时,就需要在A类中使用import引入B类。java.lang包下的
不需要手动引入,系统会自动引入。import语句
只能出现在package语句之下,class定义之前。import语句
可以编写多个。import语句
可以模糊导入:java.util.*;
注意:不可以写成:
import *;
import静态导入:import static java.lang.System.*;(了解即可,不常用)
// 静态导入,将System类中的所有静态变量和静态方法全部导入。
import static java.lang.System.*;
import static java.lang.Math.*;
public class PackageTest01{
public static void main(String[] args){
/*
System.out.println("1");
System.out.println("2");
System.out.println("3");
System.out.println("4");
System.out.println("5");
*/
out.println("1");
out.println("2");
out.println("3");
out.println("4");
//System.out.println(Math.abs(-110));
System.out.println(abs(-120));
}
}贡献者
更新日志
2a5a8-SpringBoot快速入门完结撒花于
